ピレリPOWERGY:安全性とサステナビリティを兼ね備えた新しいサマータイヤ
優れたウェットグリップ性能に、低い転がり抵抗、そして低騒音化を実現
ピレリのR&D部門が、バーチャルリアリティシステムやデジタルシステムを広範囲に駆使し開発

PRESS RELEASE
2022年2月4日、東京
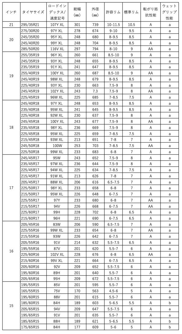
ピレリジャパン株式会社(東京都港区芝)は、新製品POWERGY を2022年3月より順次販売開始します。このタイヤは、安全性とサステナビリティにフォーカスしており、日々のドライブにおいて、ドライバーと環境の両方にとっての利点となり得ます。POWERGYは、最近のクロスオーバー、セダン、ミニバンに向けたアフターマーケット用タイヤで、ピレリ最新のバーチャルシミュレーション技術を使用して開発されました。ラインナップは、15~21インチサイズ、スピードレンジH~Yの、全51サイズです。価格はオープンです。
優れた安全性を提供し、環境にも配慮した設計
ピレリの新しいPOWERGYは、日本自動車タイヤ協会(JATMA)のウェットグリップ指標でラベリングa/bが示すように、優れたウェットグリップを有しているため、ドライバーは、悪天候時でも安心感の高い走りを楽しめます。特に環境やサステナビリティにも配慮しており、JATMAの転がり抵抗のラベリングAA/Aにより、車の燃費を低減し、排気ガスも削減することができ、さらに低騒音化も実現しています。
バーチャルリアリティを活用した開発方法を採用
POWERGYの開発にあたっては、性能目標を達成するために、ピレリで最も進化したバーチャルリアリティシステムが採用されました。この新しい開発プロセスにより、トレッドパターン及びプロファイルの適正化が可能となり、最適な接地形状を実現しました。この接地形状はバランスが良く、接地圧分布は均一で、ブレーキの制動距離は短く、車のコントロール性や操舵時の正確性を向上させています。ウェットブレーキ性能や摩耗性能は、特殊なポリマーを使用したコンパウンドを採用することにより改善されています。周方向の溝と、それにつながる横溝を配置したパターンの設計が、排水性を高め、ハイドロプレーニング現象の発生を防ぎ、ウェット性能と安全性を向上さています。これらのことは、イタリア・ミラノにあるピレリR&Dセンターでの静的なシミュレーション解析と、新製品の性能検証の場となるトラックテストによる成果です。バーチャルシミュレーションを採用した開発方法によって、Covid-19による制限で困難が生じた中でも、全体の開発期間はかなり短縮され、わずか18ヶ月で開発を完了させることができました。また、タイヤのプロトタイプの物理的な数量を削減することで、環境にも配慮したタイヤ開発を実現しました。

このプレスリリースには、メディア関係者向けの情報があります
メディアユーザーログイン既に登録済みの方はこちら
メディアユーザー登録を行うと、企業担当者の連絡先や、イベント・記者会見の情報など様々な特記情報を閲覧できます。※内容はプレスリリースにより異なります。
すべての画像
