アックスロボティクスの【ねむりす】を用いた立命館大学の研究がIEEE ICCE 2024で「Best Session Award」を受賞

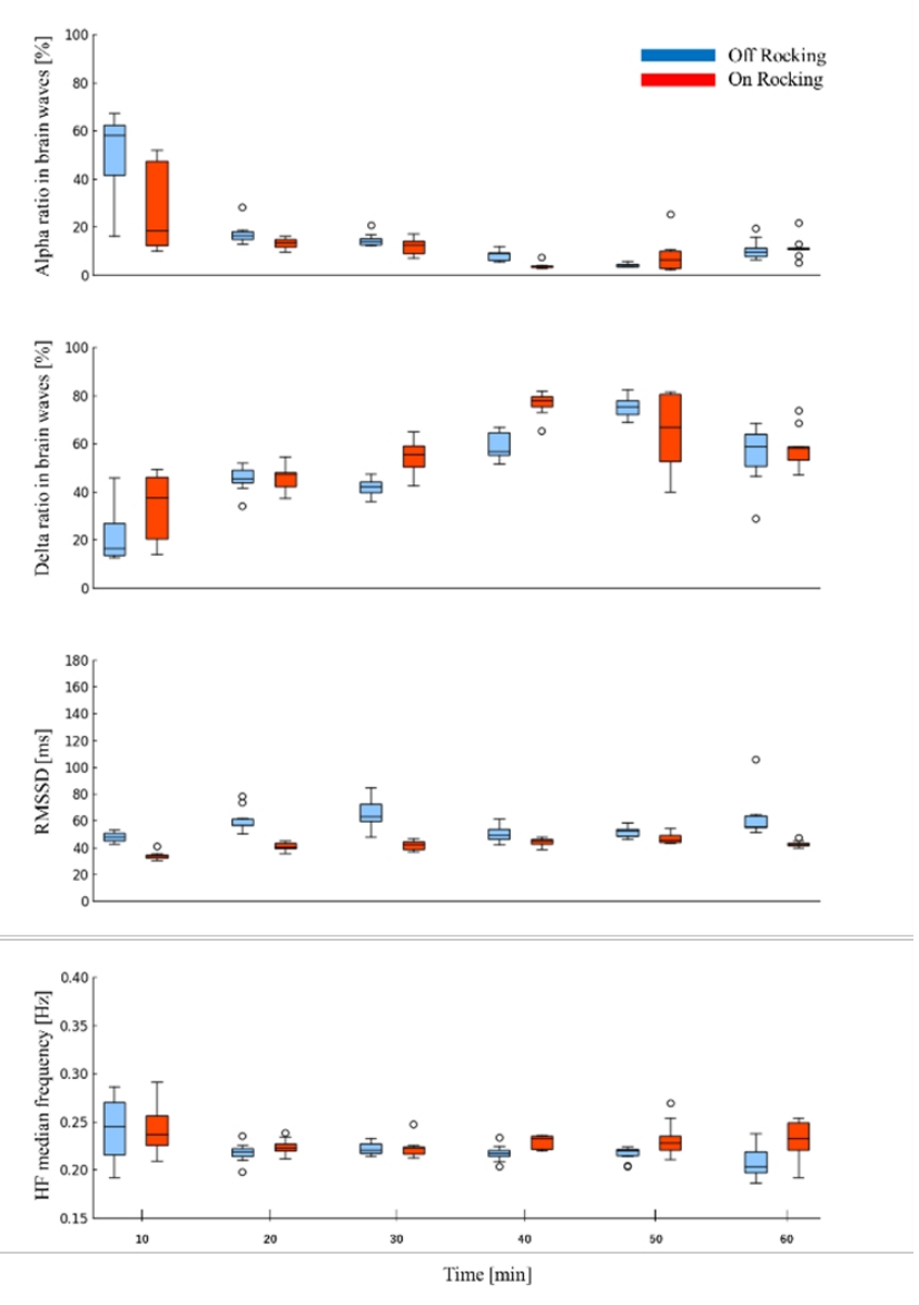
人が就寝する際に、微小な揺動が入眠や深い睡眠を誘発することが知られており、ロッキング現象と呼ばれています。ロッキングは従来、ハンモックやゆりかご等のベッドサイズで行われることが多いですが、今回の研究ではスマート枕「ねむりす」を用いて、頭部のみへの揺動を実施しました。呼吸の倍周期である0.125Hzの揺動が昼寝の睡眠に与える影響について調査した結果、深い睡眠が出現するまでの時間の短縮と深い睡眠の増加がみられました。
以上のことから、「ねむりす」による頭部への適切な周波数の揺動が、昼寝の睡眠に良い影響を与えることが確認されました。本研究は2024年1月5日から8日に米国ラスベガスで開催された「IEEE 42nd International Conference on Consumer Electronics」で発表され、「Best Session Award」を受賞しました。今後はさらに終夜の睡眠についての研究結果も注目されています。
図:アルファ波の割合、デルタ波の割合、RMSSD、HF周波数の中央値の時系列変化。

IEEE 42nd International Conference on Consumer Electronics
(ご参考)動く枕開発のアックスロボティクスが立命館大学と枕の揺れ動きが入眠に与える影響について共同研究を開始
https://prtimes.jp/main/html/rd/p/000000009.000065491.html
研究概要
研究名 ねむりすを用いた入眠誘導効果の立証
概要 当社が開発するロボット枕「ねむりす」を用いた有用性立証
Ax Robotix株式会社とは
「ロボティクスの力で人類の進歩を加速させる」というミッションのもと、睡眠の質をアップデートするプロダクト・サービスの開発に取り組んでいます。スマートロックAkerun(株式会社Photosynth)の初期メンバーであるロボットエンジニアの川村が、自身の長年の悩みであった「日によって欲しい枕の高さが変わる」課題を解決するために2019年に創業。毎日ほしい形に変形するスマート枕「ねむりす」など、既成概念にとらわれない製品を開発しています。
研究室概要
立命館大学 理工学部 ロボティクス学科 生体工学研究室
RARAフェロー 岡田志麻教授
研究テーマ:医療、福祉分野へのロボティクス技術の応用
URL:https://www.ritsumei.ac.jp/se2017/educators/detail/?id=92

会社概要
Ax Robotix株式会社(アックスロボティクス)
設立日:2019年4月1日
代表者:代表取締役 川村 裕一
本社所在地 :東京都渋谷区恵比寿4丁目20番 恵比寿ガーデンプレイス
広島開発拠点:広島県広島市西区観音新町4丁目10-97-21 molten [the Box]
このプレスリリースには、メディア関係者向けの情報があります
メディアユーザー登録を行うと、企業担当者の連絡先や、イベント・記者会見の情報など様々な特記情報を閲覧できます。※内容はプレスリリースにより異なります。
すべての画像
