2030年、訪日外国人は最大7,308万人に!地方分散がカギを握る未来予測を発表~ENJOY JAPANが訪日潜在値指数モデルで国別予測、観光成長の可能性と課題を明示~

訪日観光の未来像、最新予測を公開
海外マーケティング支援を手がける株式会社ENJOY JAPAN(本社:東京都新宿区、代表取締役:瞿 史偉)は、独自に開発した「訪日潜在値指数」に基づき、2030年における訪日外国人観光客数を最大7,308万人と予測する調査結果を発表しました。
一方で、空港・宿泊施設などのインフラ不足や、人気都市への一極集中が続く場合には、訪日客数が5,537万人~4,980万人に留まる可能性も明らかになりました。
調査背景:政府目標6000万人、注目高まるインバウンド市場
日本政府は2030年に訪日外国人6,000万人、消費額15兆円の目標を掲げています。2024年の訪日客数は過去最高の3,686万人に達し、消費額も8兆円を超える状況で今後さらなる成長が期待できる市場です。
本調査では、ENJOY JAPANが独自に指数関数モデルや多項式回帰モデルなどを活用した数値予測ならびに、過去の定性調査やアンケート調査をもとに訪日外国人客数を予測いたしました。
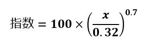
【予測条件ならびに定義について】
1. JNTO訪日外客統計(月別推計値)2003年~2024年の訪日外国人観光客数を推移から参考モデルを作成。
2. 国土交通省国際定期便参照:空港別動向(2024年 夏/2024年 冬)※ただし、空港拡張計画や新滑走路計画が公表されている情報は考慮する。
3. 宿泊施設の稼働率:2025年2月観光庁 宿泊旅行統計調査参照
4. 宿泊施設数の推移:令和6年度衛生行政報告例参照
5. ENJOY JAPAN算出:訪日潜在値指数(該当国の今後の訪日客成長度合いを示した数値となります)
※注:指数関数の説明(定義)

【算出方法】
I. x(訪日期待値)とは、(1年あたりの当該国の訪日外国人観光客数÷該当国対象国人口)×(米ドル換算で日本の一人当たりGDP/当該国の一人当たりGDP)をもとに算出した数値。
II. 訪日の経験人数から潜在的な人数を把握するとともに、経済的な豊かさ(一人当たりGDP)が訪日可能性に影響するため、考慮した数値を作成。
III. 0.32…訪日外国人最大値0.32と設定:訪日観光客実績数値より、訪日経験比率ならびに一人当たりGDPがともに高い香港エリアを参考に分析・算出 ※香港エリアにおける2025年から2030年までの一人当たりGDPは、米ドル換算で年率2%の成長を仮定
指数関数の出力の上限である「100」は、過去のデータに基づいた「潜在的な訪日者数の最大値(上限)」を意味しています。指数の値が100に近づくほど、その国・地域からの訪日者数がすでに上限に達している、あるいは非常に近い状態であることを示します。したがって、指数が高い国ほど「これ以上の大幅な増加が見込みにくい」可能性があり、逆に指数が低い国は「今後の伸びしろがある」ことを意味しています。
国別訪日潜在値指数(ENJOY JAPANにて算出)

香港・台湾は、訪日経験割合が高く、2030年に向けて大きな増加は見込まれないと思われます。
英語圏のアメリカやオーストラリアについても、人口や一人当たりGDPの観点から見ても、成長の余地が十分にあると思われます。ただし、地理的な観点から見ると、他のアジア圏と比較して移動距離が影響するため、理論上の数値(予測最大値)と実際の訪日客数との間には乖離が生じる可能性があります。
■全体2030年未来予測 ~訪日外国人客数推移~
当社が指標とする訪日潜在値指数どおりで予測した場合、理論値(予測最大値)で7308万人と予想されます。ただし、地方分散が進まない場合、東京や大阪などの人気エリアに一極集中する為、受け入れ先となる空港や宿泊施設のキャパシティが限界となるため、成長率が緩やかな曲線を描き、伸びが鈍化すると予想されます。
したがって、6000万人を受入空港の供給キャップとした際に、人気空港(羽田空港・成田空港・関西国際空港・福岡空港)のみが増加※滑走路拡張計画も考慮、非人気空港(4空港以外)が現時点での受入体制をキャップとした場合、2030年の訪日外国人観光客は5537万人と予測されます。
宿泊施設数の増加や稼働率の増加見込まれないとした場合、さらに5000万人を下回る可能性もあります。観光事業に関わる方の人手不足などの解決も、今後の成長を支えるうえでも非常に重要なカギを握っていることは間違いありません。
観光従事者不足や施設不足が解決されたとしても、当社で過去に実施した6国・地域(韓国/中国/台湾/香港/タイ/アメリカ)のヒアリングやアンケート調査では、地方への分散にはまだまだ時間がかかる可能性が高いと思われます。2030年の訪日外国人観光客6000万人達成には、地方の魅力発信は急務です。その為にも、地方自治体や民間事業者が一体となって、総合的な情報発信を、対象国ごとに合わせた適切なメディア選定が重要となってきます。
2025~2030年 訪日外国人観光客予測


■国別2030年未来予測 ~訪日外国人客数推移~
・訪日トップは中国:2,000万人超
・米、豪などの英語圏は今後の成長余地大
・香港、台湾は訪日経験割合が高く、成長は鈍化傾向
中国や米国など主要国別の未来予測の詳細については下記のURLよりご覧ください。
https://enjoy-japan.jp/global-column/global-marketing/foreigntourists-visitingjapan-2030/
本件に関するお問い合わせ先
株式会社ENJOY JAPAN
担当:中山(なかやま)
TEL:03-6380-1930
MAIL:info@enjoy-japan.jp
すべての画像
