【プレマシード】不登校経験者の約半数が「積極的不登校」を好意的に評価していることが判明
積極的不登校に関する調査
通信制高校の紹介サイトGo通信制高校を運営する株式会社プレマシード(本社:東京都渋谷区、代表取締役:岩田 彰人)は、2025年4月8日(火)~17日(木)に「コロナ禍の学齢別不登校経験とその理由に関する調査」を実施しました。
本調査はコロナ禍に「小・中・高校生だった方」と「大学生以上だった方」の計600名を対象に行い、「小・中・高校生」と「大学生以上」に分けて統計を取ることで「コロナ禍によって、それぞれの学齢で積極的不登校をはじめとした不登校に関する意識が、どのように変容したのか」を調査しました。(※1)
Q1. あなたは「積極的不登校」という言葉を知っていますか。(単数回答/n=600)

「積極的不登校」について「知っている」と答えた割合は15.0%でした。コロナ禍の学齢不登校経験別でみると、小・中・高校生/不登校経験ありは「知っている」の割合が特に高く、37.5%を記録しました。
Q2. 積極的不登校とは、自分の意思で「学校に行かない」と、前向きに選ぶことをいいます。あなたは「積極的不登校」をどう思いますか。(単数回答/n=600)

全体回答は「とても良いと思う」が7.8%、「良いと思う」が25.2%で合計すると33.0%でした。しかし、コロナ禍の学齢不登校経験別でみると、「良いと思う計(とても良いと思う+良いと思う)」は小・中・高校生/不登校経験ありが50.0%、大学生以上/不登校経験ありは49.2%であり、不登校経験者は積極的不登校を好意的に捉えていることが分かります。
Q3. Q2のように回答した理由をお答えください。(自由回答/n=600)
詳細はプレマシードオフィシャルサイトよりご確認ください。
Q4. 学校の通い方として、あなたの考えに最もあてはまるものをお答えください。(単数回答/n=600)

全体回答は「無理して通うべきではない」が69.0%、「多少のことは我慢して通うべき」が31.0%でした。コロナ禍の学齢不登校経験別でみると、小・中・高校生/不登校経験ありは37.5%が「多少のことは我慢して通うべき」と答えており、全体より高い数値となりました。
Q5. Q4のように回答した理由をお答えください。(自由回答/n=600)
詳細はプレマシードオフィシャルサイトよりご確認ください。
< プレマシード代表 岩田のコメント >
これらの設問では、「不登校経験者は学校に通うべきと認識している」ということが明らかになりました。一方、不登校経験者の約半数は積極的不登校を肯定しています。矛盾をはらんでいるように見えますが、不登校経験者は学校に通うべきと思いながらもさまざまな理由で学校に通えなくなり、自分の居場所、学ぶ場所を失ってしまった。だからこそ、自分の意思で居場所や学ぶ場所を探すために積極的不登校を肯定しているのではないでしょうか。
Q6. 中学と高校での学びについて、あなたの考えにあてはまるものをお答えください。 ※副教科とは、音楽、美術、保健体育、技術・家庭科などの教科を指します。(単数回答/n=600)

「【中学】での5教科は大切だと思う」という回答がでは、「とてもそう思う」と「ややそう思う」の合計値が最も高く77.8%でした。次いで「【高校】での5教科は大切だと思う」が71.2%、「【中学】での副教科は大切だと思う」が64.7%、「【高校】での学びに満足している」が61.8%という順番になりました。
Q7. 学校における5教科の勉強は、何のためだと考えますか。(複数回答/n=600)

5教科の勉強の目的として最も割合が高いのは、「一般教養を養うため」で57.3%でした。次いで「将来の夢を叶えるために必要な学力を身に付けるため」が36.5%、「興味のある分野を見つけるため」が33.7%、「卒業する資格を得るため」が31.3%と続きました。
< プレマシード代表 岩田のコメント >
中学や高校における5教科と副教科の学びについて、不登校経験者はいずれの項目も「大切だと思う」割合が高かったです。不登校になり、学びの場と機会を喪失したからこそ、学ぶことに対して真剣に考えているのでしょう。
学ぶ機会を失った子どもに対して、社会は学びの環境を用意するべきであり、現状では通信制高校やサポート校、フリースクールなどがその役割を担っています。
Q8.「学びたい場所」としてあてはまるものをお答えください。 ※高校での学びを想定してお答えください。(複数回答/n=600)

全体では「自分の好きなことや追求したい課目をより学ぶことができる」という回答が45.0%もの支持を得ました。次いで「自分の学力や目的に合わせたサポートがある」が33.2%、「自分の居場所だと感じる場所である」が32.7%と続いています。
Q9. 通信制高校について、あなたの知っていることをお答えください。(複数回答/n=600)

最も高かったのは「通学する日、オンラインで学ぶ日を自身の都合や心身の調子に合わせて決めることができる」で23.3%でした。次いで「5教科以外にも、eスポーツやK-POP、ネイルなど興味のある分野が学べる」が22.0%、「クラスでの授業の他、少人数、個別指導、オンライン、訪問型など自分に合わせた学習スタイルを選べる」が20.5%と続きました。
コロナ禍の学齢不登校経験別でみると、小・中・高校生/不登校経験ありは「大学生などの歳の近い大人や社会経験のある教員も多い」が42.5%、「5教科以外にも、eスポーツやK-POP 、ネイルなど興味のある分野が学べる」と「通信制高校の生徒は近年増加している」が共に38.8%、「通学する日、オンラインで学ぶ日を自身の都合や心身の調子に合わせて決めることができる」が37.5%と総じて高く、通信制高校への理解が深いことが分かりました。
< プレマシード代表 岩田のコメント >
Q8.「学びたい場所」に関する設問で、不登校経験の有無によって15%以上の差が出たものが2つあります。1つは「自分の居場所だと感じる場所である」で、もう1つは「競争がなく学べる」でした。生徒に対する居場所づくり、やりたいことができる環境づくり、周囲と比べず一人ひとりの頑張りを見逃さない絶対評価、この3点は多くの通信制高校が導入・注力していることであり、この設問と回答を通して通信制高校が生徒のニーズを的確に把握し、生徒が自立できる仕組みやカリキュラムを設計していることが分かります。
そして、通信制高校やサポート校が新しい学びの場として適切に機能し、その周知も少しずつ進んでいるからこそ若年層の理解も深まっているのではないでしょうか。
Q10. あなたが不登校になった際、心配なこととして挙げられるものをお答えください。 ※不登校の経験がある方は、その際に心配だったことをお答えください。(複数回答/n=600)

最も割合の高い回答は「学力低下」で38.2%でした。次いで「社会性を獲得できない」が38.0%、「進学できるか」と「体調やメンタルの不調」が共に35.0%と続いています。
コロナ禍の学齢不登校経験別でみると、小・中・高校生/不登校経験ありは「体調やメンタルの不調」「社会性を獲得できない」「進学できるか」がそれぞれ50%を超えており、実際に不登校になって心配事が増えている様子がうかがい知れます。
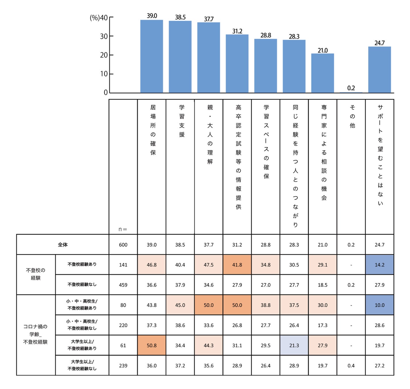
Q11. 自身が不登校になった場合、どのようなサポートを望みますか。 ※不登校の経験がある方は、その際に必要だったことをお答えください。(複数回答/n=600)

最も割合の高い回答は「居場所の確保」で39.0%でした。次いで「学習支援」が38.5%、「親・大人の理解」が37.7%、「高卒認定試験等の情報提供」が31.2%と続いています。
コロナ禍の学齢不登校経験別でみると、小・中・高校生/不登校経験ありは「親・大人の理解」と「高卒認定試験等の情報提供」が50.0%に達しており、全体と比べると特に「高卒認定試験等の情報提供」をサポートしてほしいという声が多かったです。
< プレマシード代表 岩田のコメント >
高校で不登校になり高卒資格を得られない場合、大学や専門学校への進学が難しくなるだけではなく、就業や資格取得の条件を満たせない事態に直面する可能性もあります。そうした事態を避けるため、また、進路に対する不安が大きい点からも「高卒認定試験等の情報提供」をサポートしてほしいと考えているのでしょう。
このようなニーズに対して、通信制高校は「居場所の確保」という不登校のサポートを行い、「学習支援」という形で将来に向けたサポートも行っています。ただ、通信制高校が不登校の生徒の受け皿になっているとしても、不登校という事象や不登校になった生徒に対する理解を社会全体で深めていくことが大切であることは変わりません。理解を深めることで通信制高校はさらに学びやすい場所となるはずです。
< 調査概要 >
調査手法 : ネットリサーチ
対象者条件: 【性別】 男性、女性
【年齢】 15~39歳
【地域】 全国
【その他条件】 コロナ禍(※2)の学齢が中学生以上
割付 : コロナ禍(※2)の学齢が小中高生だった方(高専生を含む)
コロナ禍(※2)の学齢が小中高生ではなかった方(大学生以上)
各300サンプル
調査期間 : 2025年 4月8日 ~ 4月17日
※1)調査結果は小数点第二位を切り捨てた数値で表示しています。
※2)2020年1月~2023年5月
Go通信制高校

多様な角度から通信制高校やサポート校、技能連携校、高等専修学校を紹介するポータルサイトです。偏差値や知名度など単なるスペックの比較ではなく、10代の悩みややりたいことは個性としてとらえ、それを解決する学校の個性とのマッチングを目指します。
オフィシャルサイト

10代の若者の学びへの価値観や彼らが抱える悩みへの認識には世間との大きなギャップがあります。この問題を解決に導くため、みんなでもっと自由に語りあえるようになれば今よりもちょっとだけ良い世の中になる気がする、そんな思いでさまざまな立場からのリアルな声を届けていきます。
会社概要
商号 : 株式会社プレマシード
代表者 : 代表取締役 岩田 彰人
所在地 : 東京都渋谷区神宮前2丁目18−19 the Folks 3B/3F
企業URL: https://prmaceed.co.jp/
このプレスリリースには、メディア関係者向けの情報があります
メディアユーザー登録を行うと、企業担当者の連絡先や、イベント・記者会見の情報など様々な特記情報を閲覧できます。※内容はプレスリリースにより異なります。
すべての画像
