肝機能検査値が高い患者のうちNASHと診断された患者は0.7%必要な患者への肝線維化検査が求められる
~リアルワールドデータ×アンケートを使った非アルコール性脂肪肝炎に関する調査結果を報告~
医師を対象としたアンケート調査の調査手法はインターネットリサーチ。調査期間は 2023年7月 18日(火)~7 月21日(金)。有効回答数は、内科医師348名。
(※1):NAFLD(非アルコール性脂肪性肝疾患)/NASH(非アルコール性脂肪肝炎)

■調査結果のサマリ
<RWD分析>
健康診断受診者のうち、肝機能検査値が高い(ALT>50 IU/LまたはAST>50 IU/L)受診者は12.3%
肝機能検査値が高い受診者のうち、医療機関でNASHと診断された患者は0.7%
肝機能検査値が高い受診者の中には、肝線維化検査が行われていない受診者が存在し、検査非実施群の中にALT値・BMIが高い受診者が含まれている
<医師調査>
幅広い診療科の医師がNASH疑いのある患者を診療していることがわかった
NASH疑いのある患者の中で、肝線維化検査が行われていない患者が2割いることが確認された
肝線維化検査が必要な患者に検査を実施するためには、「治療法の確立」、「検査の実施基準の確立」が課題であり、新薬の発売がきっかけとなり、早期の肝線維化検査・治療介入が進むことが期待される
■調査背景
日本の肝疾患による死亡は、多くは終末期の肝硬変、肝細胞がんによるものです。肝硬変、肝細胞癌の多くは、B型やC型のウイルス性肝炎疾患が占めてきましたが、近年はウイルス性肝炎由来ではない患者が増加傾向にあります。その中でもNASHは、近年の肥満人口の増加、生活習慣の変化を背景に、潜在非アルコール性脂肪肝疾患(以下、NAFLD)と並行して増加している可能性が高いと考えられており、未だ、根本的な原因療法はなく、現在複数の新薬開発が進められています。(※2)
そこで、RWDと医師調査を用いて、NASH診療の実態・課題を可視化することを試みました。
(※2):NAFLD/NASH診療ガイドライン2020
■調査結果
【RWDから見えたNASH診療の課題】
1.多くのNASH患者は、医療機関で診断されていない
PREVENTが保有する健康保険組合由来のRWDより、健康診断受診者(373,458名)のうち、肝機能検査値が高い(ALT>50 IU/LまたはAST>50 IU/L)受診者は12.3%(45,967名)。そのうち、ウイルス性・自己免疫肝炎、アルコール性脂肪肝患者を除く受診者が83.1%(38,187名)。そのうち、医療機関に受診し、NASHと診断された患者は0.9%(338名、肝機能検査値が高い患者のうち0.7%)でした。
NAFLD患者の約1割にNASHが存在すると言われていますが(※3)、RWDの結果より、医療機関でNASHと診断されている患者は少ないことがわかりました。
(※3):NAFLD/NASH診療ガイドライン2020
2.NASHと診断がついてから1年以内で肝がん、肝硬変の診断名が散見される
レセプトデータを使った解析により、NASHと診断がついた月を起点として、NASHの診断前後に診断された診療名を可視化しました。NASHの診断前には、「生活習慣病」や「肝炎」の診断名がついていますが、診断後には1年以内で「肝がん」、「肝硬変」などの診断名が散見されました。
このことから、医療機関においてNASHは進行した状態で診断されていることがうかがえます。

【図1】 診断名のペイントジャーニー
(レセプトデータ 2,157名)
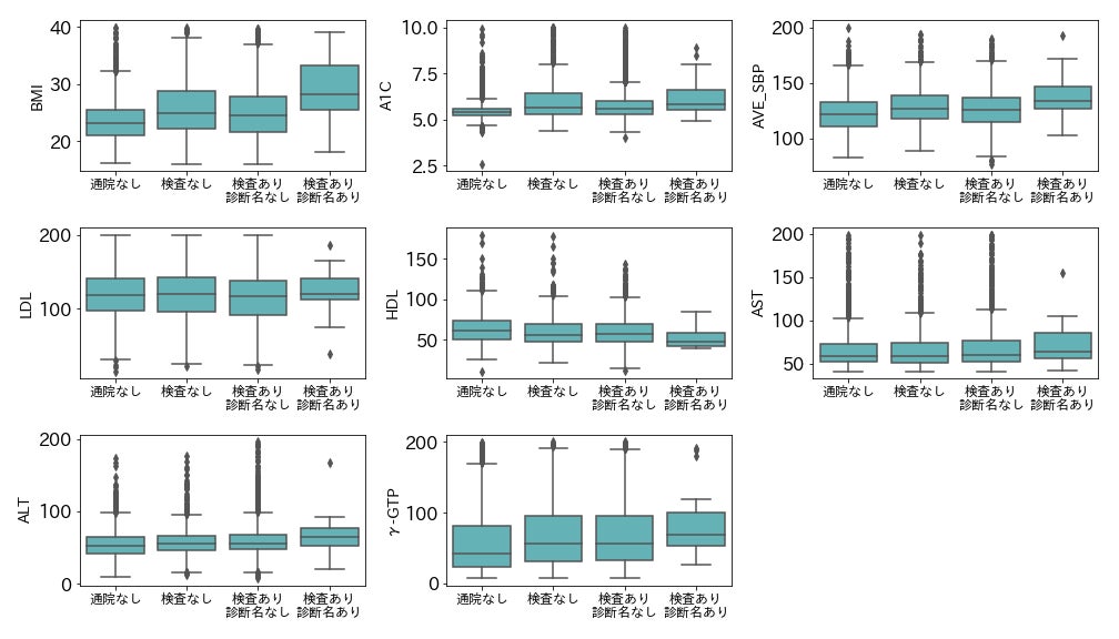
3.肝機能検査値・肝線維化指標が高い健診診断受診者のうち、肝線維化検査を実施した患者の割合は6割
RWDより、肝機能検査値および肝線維化指標が高い(ALT>50 IU/LまたはAST>50 IU/L、且つAST/ALT比が0.8以上)健康診断受診者(4,418名)のうち、医療機関を受診した患者は3,009名。そのうち、肝線維化検査を実施した患者の割合は約6割でした。
肝機能検査値および肝線維化指標が高い健康診断受診者(4,418名)を、「通院なし」「検査なし」「検査あり(NASH診断名なし)」「検査あり(NASH診断名あり)」の4群に分け、健診検査数値を可視化したところ、肝線維化検査非実施群にも、ALT値、BMIが高いなど、リスクがある受診者が存在することがわかりました。
このことから、肝線維化検査非実施群においても検査の実施を検討した方が良い患者が含まれていることが推察されました。

【図2A】通院者の中での検査実施率
(対象者 3,009人)

【図2B】健康診断の検査値
(対象者 4,418名)
健康保険組合由来RWDから、NASH診療の臨床課題として、「一部の患者にしかNASHの診断名が使われていない」、「必要な患者に肝線維化検査が行われていない」ことが浮き上がってきました。
次に、医師を対象にした、NASHの検査・診断の実態に関するアンケート調査の結果を示します。
ーーーーーーーー
【医師調査を用いた課題・仮説の検証結果】
1.幅広い診療科の医師がNASH疑いの患者を診療し、肝線維検査を実施すべきと考えるが実施されていない患者が存在
医師調査に回答した医師が、直近1カ月間で診療した患者のうちNAFLD患者は9%。NAFLD患者のうち、NASHと診断がついている患者は11%でした。NASH疑いの患者は、診断がついている患者の約2倍存在し、特に、内科(診療所)、循環器内科/糖尿病内科(診療所)では他の診療科に比べて疑い患者が多いことがわかりました。
また、NASH疑い患者における肝線維検査について質問したところ、疑い患者のうち肝線維化検査を実施した患者割合は約4割で、NASH疑い患者の中にも、肝線維化検査を実施すべきだと思うが実施されていない患者が約2割存在することがわかりました。

【図3】NAFLD患者の内訳
(回答者:内科医師 348名)

【図4】NASH疑い患者の肝線維化検査の実施割合
(回答者:内科医師 348名)
2.肝線維化検査の実施に対するハードルは「患者が拒否する」、「治療法が確立していない」、「検査の実施基準が確立していない」
NASH疑い患者の中で、肝線維化検査を実施すべきだと思うが実施されていない患者がいる理由として、「患者さんが検査を拒否する」、「診断しても治療法が確立していない」、「検査の実施基準が確立していない」ことがあげられました。
また、「患者さんが検査を拒否する」については、別の質問で7割の医師が「患者さんに検査や治療の実施を説得するのが大変である」と回答しています。このことから、治療法が確立されていないことが患者への説明にも影響していると考えられます。

【図5】肝線維化検査を実施すべきだが実施されていない患者がいる理由
(回答者:NASH疑いの患者を診療している内科医師 171名)
3.NASHを疑うALT値は確立していない
NASHを疑う際のALT値について質問したところ、「30~49IU/L」でNASHを疑うと回答した医師割合は33%、「50~99IU/L」は36%、「100IU/L以上」は31%でした。医師によってNASHを疑うALT値が様々である背景としては、検査の実施基準が確立していないことが考えられます。

【図6】NASHを疑うALT値
(回答者:内科医師 346名)
4.今後のNASHの診療動向
今後、NASH疑い患者に対して肝線維化検査が増えると回答した医師は6割以上、NASH疑い患者に対して治療が増えると回答した医師は6割以上でした。医師は、早期に肝線維化検査を実施するために必要なこととして、「脂肪肝・肝炎の治療法が確立される」、「肝線維化検査の実施基準が確立される」、「新薬が発売される」をあげています。
このことから、新薬の発売をきっかけに、検査の実施基準、治療法が確立すれば、早期の肝線維化検査の実施や他医師への紹介につながっていくと推察されます。

【図7】早期に肝線維化検査を実施するために必要なこと
(回答者:内科医師 348名)
今回のRWD(健康保険組合由来のリアルワールドデータ)と医師アンケート調査の結果から、脂肪肝・肝炎診療では多くのNASHの潜在患者が存在し、肝線維化検査を実施すべきだが実施されていない患者が存在することが確認でき、肝線維化検査を実施するためには、治療法と診断基準の確立が求められていることがわかりました。また、新薬の発売は、早期の肝線維化検査の実施や他医師への紹介のきっかけになることが期待されます。
■今後の取り組み
RWDを用いて想定患者数を算出し、ジャーニーを作成、導き出された課題を元に医師や患者に対するアンケート調査を行うことで、RWDだけでは見えなかった実態や意識・意向などを把握することができます。今後もPREVENTと[A1] [A2] マクロミルケアネットは、両社で連携したマーケットリサーチ、疾患リサーチを推進してまいります。
※本調査内容の報告会を兼ねて、10/5(木)に無料セミナー「NASH診断の現状と今後の課題 ~RWDと医師アンケート調査報告を踏まえた臨床医の視点~」を開催します。セミナー詳細およびご参加のお申し込みは以下をご覧ください。
https://drive.google.com/file/d/1mInMexkQpo1EFpzQGWRKr6Nc0lrSpuFY/view?usp=sharing
■調査概要
1.脂肪肝・肝炎(NAFLD、NASH)に関する健康保険組合由来のリアルワールドデータの分析
調査主体: PREVENT
調査方法: リアルワールドデータ解析
調査対象: 企業健康保険組合に属する被保険者・被扶養者(レセプトデータ約160万人、健診データ約70万人)
データ期間: 2013年4月1日(月)~2022年3月1日(火)
2.脂肪肝・肝炎に関する医師アンケート調査
調査主体:マクロミルケアネット
調査方法:インターネットリサーチ
調査対象:脂肪肝患者を直近1カ月間で1名以上診療した医師 348名(CareNet.com登録医師)
調査期間:患者:2023年7月18日(火)~7月21日(金)
本プレスリリース中の図はこらからご確認いただけます。
https://drive.google.com/file/d/1Mfe4IUJ74LOX4qZ9sZfe_sxY57WgrC-B/view?usp=sharing
【株式会社PREVENTについて】
2016年7月設立の名古屋大学医学部発スタートアップ企業。企業健保・自治体国保に向けて、保健事業の計画立案や生活習慣病重症化予防事業の提供、保健事業の事業評価などを推進。また、保険者支援の事業を通じて培った「データ解析力」、「RWD」、「各種ソリューション」等のアセットを活用し、製薬業界に関わるステークホルダーへの支援を推進している。大学発スタートアップとしてデータや研究ノウハウを活用したデータ駆動型の事業に強みを持つ。
代表者 : 代表取締役 萩原 悠太
本社 : 愛知県名古屋市東区葵一丁目26-12号 IKKO 新栄ビル9F
設立 : 2016年7月
事業内容 : 医療データ解析、生活習慣病の重症化予防支援事業等
ウェブサイト : https://prevent.co.jp/
【株式会社マクロミルケアネットについて】
国内オンラインリサーチ業界のリーディングカンパニーである株式会社マクロミルと、製薬企業向けの医薬営業支援サービスや医師・医療者向けの医療コンテンツサービスを行っている株式会社ケアネットの合弁会社として設立。マクロミルが培ってきた医療分野の調査サービスにおける営業力とリサーチスキルに、ケアネットが持つ医療分野での豊富な知見と専門知識を有する人材、良質な医師のリサーチモニタを融合させることで、より高品質かつスピーディーなリサーチサービスを提供します。
代表者 : 代表取締役社長 徳田茂二
本社 : 東京都港区港南 2-16-1 品川イーストワンタワー 11F
設立 : 2014 年 12 月
事業内容 : 医療専門の市場調査事業
ウェブサイト : https://www.macromillcarenet.jp/
引用・転載について
注意事項
当記事の著作権は、株式会社PREVENTおよび株式会社マクロミルケアネットが保有します。
当記事に掲載のデータを引用・転載される際は、以下の禁止・ご注意事項をご確認のうえ、「マクロミルケアネット・PREVENT調べ[A3] 」と出典を明記してご利用いただくようお願いします。また、引用・転載される旨を下記問い合わせ先までご一報ください。
禁止事項
当レポートに掲載された内容の一部または全部を改変して引用・転載することは禁止いたします。
また、自社商品・サービスの広告における利用はご遠慮ください。
また、営業・販売を目的とした資料や制作物への引用・転載をご希望される場合は、事前に必ずご相談ください。引用されたい調査結果、引用先、引用物の用途を明記の上、株式会社PREVENT 広報担当までご連絡をお願いいたします。
免責事項
転載・引用されたことにより、利用者または第三者に損害その他トラブルが発生した場合、当社は一切その責任を負いません。
すべての画像
