「健康☆チャレンジ!制度」・「禁煙☆チャレンジ!制度」あわせて2万人以上のお客さまが健康に! ~健康行動の習慣化やその後の健康状態維持に貢献~
SOMPOひまわり生命保険株式会社(社長:大場 康弘、以下「当社」)は、「健康☆チャレンジ!制度」と「禁煙☆チャレンジ!制度」に成功されたお客さまが累計2万人を突破したことをお知らせします。
20,066件のご契約において、お客さまが喫煙状況や健康状態(BMI、血圧など)の改善によりチャレンジに成功しました(2月21日時点)。その結果、チャレンジに成功したお客さまが1年間にお支払いただく保険料は平均で約10,800円低減されました。また、「健康☆チャレンジ!制度」に成功されたお客さまは平均約35,000円の健康チャレンジ祝金をお受け取りいただき、その総額は約5億8,400万円となりました。
1.「健康☆チャレンジ!制度」・「禁煙☆チャレンジ!制度」について
当社は、お客さまの万が一の備えに加え、毎日の健康を応援する「健康応援企業」の確立をビジョンに掲げ、保険本来の機能(Insurance)に健康をサポートする機能(Healthcare)を加えた「Insurhealth®(インシュアヘルス)」を、新たな価値として提供しています。
「健康☆チャレンジ!制度」は、収入保障保険『じぶんと家族のお守り』などに付帯している、お客さまの健康状態の改善を応援する制度です。ご契約によって、ご加入後、喫煙状況またはBMIや血圧などが改善し当社の定める基準に適合した場合、その後の保険料が低減するとともに、契約日に遡った保険料差額相当額を「健康チャレンジ祝金」としてお受け取りいただけます。
同様に「禁煙☆チャレンジ!制度」は、健康をサポートするがん保険『勇気のお守り』に付帯している、お客さまの禁煙を応援する制度です。「禁煙☆チャレンジ!制度」は、ご加入後、所定の期間内に禁煙した場合、その後の保険料が低減します。どちらも当社独自のお客さまの健康状態改善をサポートする制度となっています。
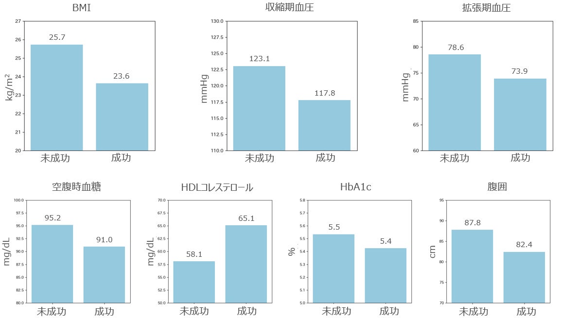
2. チャレンジ成功における健康メリット
チャレンジ成功に向けた健康改善の取り組みで喫煙状況や健康状態(BMI、血圧など)が改善され、かつ健康行動の習慣化や健康状態の維持につながっていることが分かりました。
(1)「健康☆チャレンジ!制度」成功者の改善数値
保険加入時にBMIが基準を超過していたチャレンジ成功者は、平均でBMIが約2.6、体重が約7.7kg
低減しています。※1
また、チャレンジ成功者と未成功者の結果を比べると、チャレンジの必要項目であるBMIや血圧に
加えて、空腹時血糖やHbA1cなどの糖尿病関連の数値、HDLコレステロール(善玉コレステロール)
の項目などにも有意な差が見られました。※2

※1 加入時に標準体であった、2025年1月時点でチャレンジ成功しているお客さまの、加入時とチ
ャレンジ成功時のBMI・体重の平均値から算出。
※2 2024年1月までにチャレンジ請求期間が開始しているお客さまのうち、2025年1月時点でチャ
レンジ成功しているお客さまと未成功のお客さまのMYひまわりに登録済の直近の健診結果の各
項目の平均値を比較。
(2)健康行動の定着と健康状態の維持
「健康☆チャレンジ!制度」の対象のお客さまに対しては、当社よりBMI・血圧の改善を促すべく
様々な健康行動の促進を行っていますが、その中でも歩行について差が見られました。「健康☆チ
ャレンジ!制度」の成功者は未成功者に比べて、1週間に約3,500歩多く歩行していることが分か
りました。「健康☆チャレンジ!制度」をきっかけに、日常の中での健康行動が定着していること
が明らかになりました。※3
また、「健康☆チャレンジ!制度」におけるチャレンジ成功者のうち、約92%がチャレンジ成功
から1年経過後もBMIを基準内に維持しており、禁煙でチャレンジ成功した方においては約98%の
方がチャレンジ成功から1年経過後も禁煙状態を維持しています。「健康☆チャレンジ!制度」
「禁煙☆チャレンジ!制度」は多くのお客さまの健康改善の支援をさせていただいております。※4
※3 2024年1月までにチャレンジ請求期間が開始していたお客さまのうち、2025年1月時点でチャ
レンジ成功しているお客さまと、未成功のお客さまのMYひまわりに登録済の歩数の平均を比
較。
※4 2024年1月時点でチャレンジ成功しているお客さまの、チャレンジ成功から1年以上経過してか
ら提出した告知書の数値が、チャレンジ成功の基準に当てはまっている割合。
3.「健康☆チャレンジ!制度」「禁煙☆チャレンジ!制度」へのお客さまの声
「健康☆チャレンジ!制度」「禁煙☆チャレンジ!制度」をご利用のお客さまから、チャレンジ成功のお喜びの声を多数いただいています。
■収入保障保険にご加入の48歳男性:
『契約時から担当の保険代理店より健康チャレンジ制度について定期的に案内があり、健康に留意
しながら毎年健康診断を受けておりました。自身の健康意識も高まり、今回健康チャレンジに成功
したことで、この健康チャレンジ制度と毎回ご案内をいただいた保険代理店に感謝しています。今
後も健康を意識して日常生活に気を付けていきたいと思いました。きっかけを作ってくれた健康チ
ャレンジに感謝です。』
■収入保障保険にご加入の37歳男性:
『担当者より新契約申込時に健康チャレンジを説明いただき、禁煙するきっかけとなりました。チ
ャレンジに向けたフォローをしてもらっていましたが、すぐには禁煙できませんでした。しかしそ
の後も継続的に連絡をもらい、チャレンジができる最終月にチャレンジに成功しました。禁煙が出
来たことと、保険料が安くなりお祝金も受け取れたことを大変嬉しく思います。』
4.今後の展開
引き続き、チャレンジ制度を通じて多くのお客さまが健康を実感いただけるよう、健康行動を促進してまいります。その重要な仕組みとなるのが、昨年9月にリリースした「MYひまわりアプリ」です。MYひまわりアプリでは、お客さまにとってストレスのない自然な健康応援を実現することを目指しており、その中で歩行や健康診断結果の登録に対してポイントを付与する「ポイントプログラム」を開始しています。
今後も、多くのお客さまがより楽しく健康を改善・維持するための健康応援を継続してまいります。
このプレスリリースには、メディア関係者向けの情報があります
メディアユーザー登録を行うと、企業担当者の連絡先や、イベント・記者会見の情報など様々な特記情報を閲覧できます。※内容はプレスリリースにより異なります。
すべての画像