【研究報告】「葉酸+知覧茶由来カテキン」の健康リスク改善効果および「コラーゲンペプチド+ビタミンC+Melissa officinalis抽出物」複合摂取によるアンチエイジング効果に関する報告
~日本薬学会第142年会にて研究成果を発表~
株式会社ディーエイチシー(本社:東京都港区、代表取締役会長兼社長:𠮷田 嘉明、以下:DHC)は、2022年3月25日(金)~28日(月)に開催された日本薬学会第142年会(オンライン開催)において、以下の3演題を発表いたしました。
- 1.葉酸と知覧茶由来カテキンを配合したサプリメントの摂取による健康リスク回避への効果
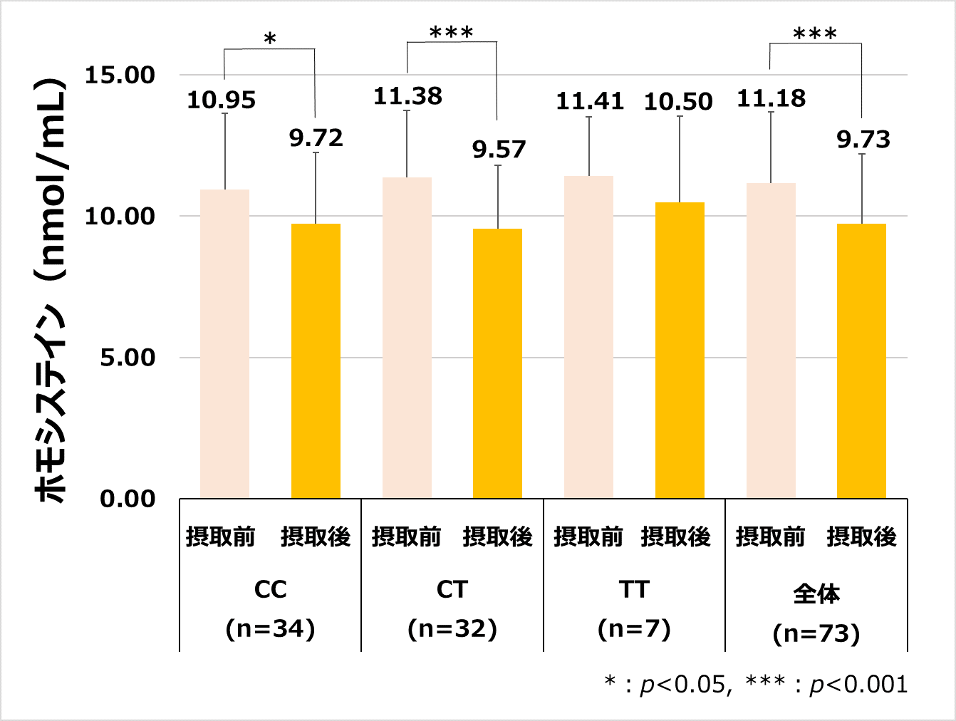
【図1:サプリメント摂取前後の血中の葉酸値とホモシステイン値の変化】

- 2.コラーゲンペプチド、ビタミンCおよびMelissa officinalis抽出物の複合配合による皮膚培養細胞に対するアンチエイジング効果の検討
- 3.コラーゲンペプチド、ビタミンCおよびMelissa officinalis抽出物の経口摂取による肌状態改善効果の検討
【図2:ドリンク摂取前後におけるコラーゲン密度の変化】

今回の知見は既にDHCの製品に応用されております。
■葉酸および知覧茶由来カテキンの技術を応用したDHC商品はこちら
【知覧茶パワー 30日分】
https://top.dhc.co.jp/contents/corporation/furusato/minamikyushu/#tab3
■コラーゲンペプチド、ビタミンCおよびMelissa officinalis抽出物の技術を応用したDHC商品はこちら
【コラーゲンビューティ 9000プラス】
https://www.dhc.co.jp/goods/goodsdetail.jsp?gCode=70026
DHCはお客様に安全かつ確かな効果を感じられる商品を提供できるよう、より高度な科学的根拠に基づいた研究開発に日々取り組んでいます。お客様の快適な毎日をサポートするため、今後もさらなる研究を続け、機能性を有した付加価値の高い製品の開発に努めてまいります。
このプレスリリースには、メディア関係者向けの情報があります
メディアユーザーログイン既に登録済みの方はこちら
メディアユーザー登録を行うと、企業担当者の連絡先や、イベント・記者会見の情報など様々な特記情報を閲覧できます。※内容はプレスリリースにより異なります。
すべての画像
