2022年(1月~12月)の旅行動向見通し
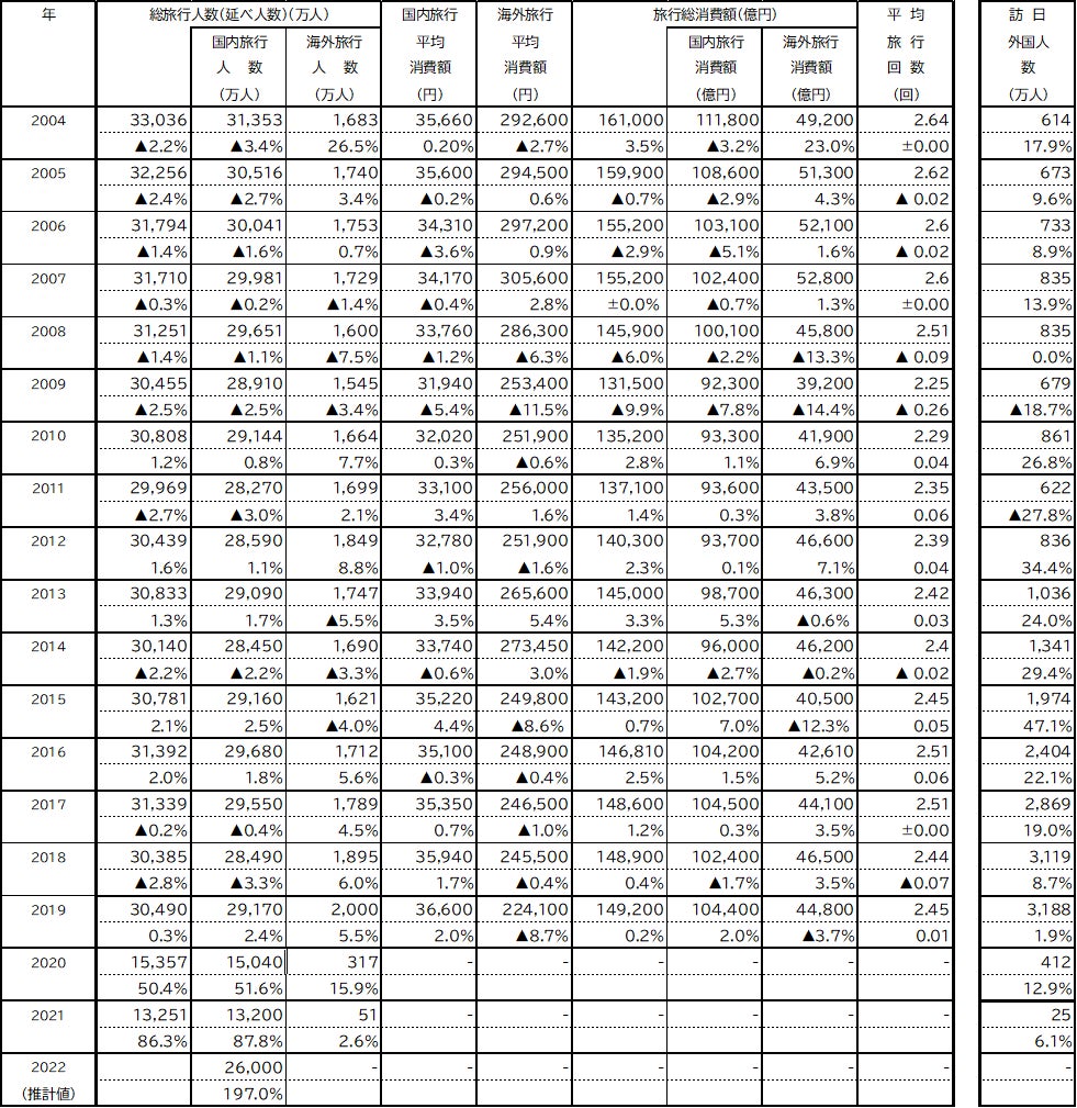
●国内旅行者数は、ある程度感染症が抑制された状況が続いた場合、2億6,000万人(2021年比97%増、2020年比73%増、2019年比11%減)と推計 ※推計期間は、2022年1月~12月までの1年間
●2022年は新型コロナ(オミクロン株)によるまん延防止等重点措置により出鼻をくじかれるが、新型コロナが落ち着いた後の旅行回復に期待
●国内旅行はGoToトラベルなどの需要喚起策、海外旅行は帰国後の隔離政策、訪日旅行は水際対策などもカギを握る
●あらゆる物価が上昇傾向にあり、消費に水を差す恐れも
●2022年は新型コロナ(オミクロン株)によるまん延防止等重点措置により出鼻をくじかれるが、新型コロナが落ち着いた後の旅行回復に期待
●国内旅行はGoToトラベルなどの需要喚起策、海外旅行は帰国後の隔離政策、訪日旅行は水際対策などもカギを握る
●あらゆる物価が上昇傾向にあり、消費に水を差す恐れも
JTBは、2022年の旅行市場についての見通しをまとめました。本見通しは、新型コロナウイルス感染症(COVID-19/以下新型コロナ)の世界的拡大で現在も海外渡航が制限されているため、国内旅行のみを対象としました。また、今後の感染状況については、具体的な見通しを立てることが難しいため、現時点の状況から悪化することは想定せずに算出しています。
当調査は、1泊以上の日本人の旅行(ビジネス・帰省を含む)と訪日外国人旅行について、各種経済動向や消費者行動調査、運輸・観光関連データ、JTBグループが実施したアンケート調査などから推計したもので、1981年より継続的に調査を実施しています。推計した2022年の旅行市場規模は次のとおりです。
(図表1)2022年 年間旅行動向推計数値 ※国内旅行のみを対象
*前年比は小数点第二位以下を四捨五入。国内旅行人数は宿泊を伴う旅行者の人数(観光および帰省目的の旅行に限る)
昨年に引き続き、少人数の旅行が中心となり、感染症対策をした上での「エリアツーリズム」※1の傾向が続くと考えられます。なお、感染状況が落ち着き安定した状態が続けば、遠方への旅行も回復してくる可能性があります。
※1JTBでは「エリアツーリズム」を地元(居住地域)にとどまらず、都道府県内及び近隣県の広域にわたり、正しい感染防止対策を取ったうえで楽しむ旅行と定義しています。
<新型コロナウイルス感染症の状況と社会経済の動き>
1.2021年までの新型コロナの状況と旅行の動き
2019年末から世界に感染が拡大した新型コロナは、2022年2月11日現在、全世界で4億人以上が感染し、570万人以上が死亡しました(AFP通信による各国発表の集計数値)。感染拡大当初は、緊急事態宣言などにより、各国で都市封鎖など人々の行動は制限され、経済活動の停滞を余儀なくされました。その後、ワクチン接種や服用薬の開発が進み、移動の正常化に向けて舵を切る国が増えています。現在、欧州ではオミクロン株流行のピークを超え、イギリスやデンマークなどの一部の国でマスクの着用義務の撤廃が始まっています。アジアは比較的慎重な国が多いのですが、ワクチン接種完了やPCR検査の陰性証明などの条件付きで、タイが2月1日から、オーストラリアは2月21日から隔離措置なしでの、外国人観光客の受け入れを再開しました。さらにマレーシア(3月1日)やベトナム(3月15日)でも同様の対応による、外国人観光客の受け入れ再開が予定されています。一方で、日本や中国は慎重な姿勢を続け、国ごとの対応が分かれています。
日本国内は、2020年春以降、新型コロナの感染拡大を何度も繰り返してきました。特に2021年は9月末に緊急事態宣言などが全面解除されるまでの大半が宣言下にありました。2022年は新年早々に、既に欧米で感染爆発が起きていたオミクロン株による感染が全国に急拡大しました。1月9日に広島、山口、沖縄に発出されたまん延防止等重点措置は、その後36都道府県が対象になりました。2月5日には1日当たりの感染者数が初めて10万人を超え、2月21日時点で国内の累計感染者は450万人以上となりました。オミクロン株による感染再拡大で、濃厚接触者の自宅待機や学級閉鎖などが増え、日常生活に支障が出ています。
旅行については、2020年4月以降、訪日旅行、日本人の海外旅行ともに需要がほぼ消失し、国内旅行も需要は大きく落ち込みました。2020年の感染拡大が落ち着いた期間にGoToトラベルキャンペーンによる需要喚起策が図られましたが、その後感染拡大を繰り返し、特に2021年はゴールデンウィーク、夏休みのピーク期間を含む大半において緊急事態宣言などが発出され、旅行者数は低迷しました。その後、9月末で緊急事態宣言が全面解除になり、旅行は回復に転じ、12月の日本人の延べ宿泊者数は2019年を超えましたが、現在のオミクロン株の流行で、本格的な旅行回復の道筋は見えていません(図表2)。
(図表2)国内の延べ宿泊者数(含む訪日旅行者)と新型コロナ新規感染者数の推移
2.旅行を取り巻く経済環境と暮らし向き
では、コロナ禍で旅行消費を取り巻く景況感はどうなっているのでしょうか。景気DI(現状)の推移をみると、2021年は9月まで特に飲食関連、サービス関連で悪い傾向が続きましたが、緊急事態宣言の全面解除により10月以降はいずれも良化し、明るい兆しが見られました(図表3)。また、雇用に関しては、総務省の発表によると、2021年12月の完全失業率は2.7%で、前月から0.1ポイント改善しました。また有効求人倍率(季節調整値)は1.16倍と、前月から0.01ポイント上昇しています。
可処分所得は新型コロナの感染拡大が始まった2020年以降、前年の反動があった2021年4~6月を除くとプラスで推移しています。家計金融資産は2020年3月末を底に増加の一途をたどり、2021年9月末時点で2,000兆円に迫る勢いとなっています(図表4、5)。先行き不透明な景況感に貯蓄意識が高まるとともに、2020年10月~12月のGoToトラベルキャンペーンの実施期間は消費支出が伸びていたことから、外出や旅行に関わる消費が感染拡大で抑えられていると考えられ、感染状況が落ち着けば、今後の旅行消費に期待が高まります。一方で、暮らし向き(ゆとり)については2021年9月まで「ゆとりがなくなった」が減少傾向を示していたものの、12月に増加に転じており、今後の消費への影響が不安視されます(図表6)。
(図表3)景気DI(現状)の推移(月別)
(図表4)可処分所得及び消費支出の対前年同期比推移(四半期別)
(図表5) 家計金融資産の推移(四半期別)
(図表6)暮らし向き(ゆとり)の状況推移
3.コロナ禍における生活の変化と旅行
新型コロナは私たちの生活スタイル全般や旅行にさまざまな変化を及ぼすことになりました。
生活全般で起きた変化 働き方が大きな影響を受け、リモートワークが広がりました。手軽に利用できる会議用デジタルツールが普及したこともあり、出社せずに自宅やその周辺のホテル・貸会議室など、さらには遠方の実家やリゾート地なども仕事場とすることが可能となり、ワーケーションが注目されるようになりました。教育面では、オンライン授業の導入が一気に進みました。生活面では、外出制限により自宅で用事を済ます機会が増え、食品をはじめとする生活用品の購入はネット注文、自宅配送が急激に伸びました。それに合わせて飲食店なども宅配サービスを始めるところが増えました。
日常生活で従来にないサービスが広がる一方で、リモートワークでは、通勤客の減少による鉄道収入の低下、夜の会合の減少による飲食店の売り上げ減少などがみられ、学校のオンライン授業化により人と直接触れ合う機会が減り、外出制限では心身のストレスが増加するなど課題が浮き彫りになっています。
旅行で起きた変化 新型コロナの影響は、旅行意識や行動にも変化をもたらしています。感染予防の観点から、旅行日数は短く、行先は居住地のある都道府県内もしくはその周辺、移動手段は公共交通を避け自家用車を利用、同行者は家族など近しい人(少人数)という「エリアツーリズム」が主流となりました。年配層(特に女性)は旅行を控え、逆に若者の旅行意欲は高い傾向がみられます。
旅行先では次のような変化がみられました。
●旅行先ではなるべく他人と接しない行動がとられるようになりました。宿泊は離れやコテージなどの1棟貸し、もしくはキャンプ場に人気が集まり、共有スペースの利用は避けるようになりました。
●旅行者自身の感染防止意識はコロナ禍が長引くほど強まる傾向が見られます。JTB総合研究所が実施した『新型コロナウイルス感染拡大による、暮らしや心の変化と旅行に関する意識調査』のなかで、旅行者が国内において宿泊施設を選ぶ際に重視する点について、2020年9月と2021年10月の調査結果を比較したところ、ほぼすべての項目で2021年10月調査の方がより強い感染防止対策を望む結果となりました。特に食事については、「個室で食事ができること(2021年10月調査 26.0%、+5.5 ポイント)」、「部屋食で食事ができること(同 25.6%、+5.5 ポイント)」との結果となり、いずれも大きく上昇しました(図表7)。
●前述の調査結果において、国内の宿泊施設を選ぶ際により重視するようになったこととして「宿泊施設のある街や地域から、旅行者に対して歓迎の意思が感じられること(17.1%)」が増加しており、旅行先への配慮がうかがえます。
●一方、コロナ禍でも「地元の人との交流」を促す動きが出てきました。その中で注目を集めているのが「オンラインツアー」です。これはインターネットを介してWEB 上(オンライン)で行う旅行のことで、旅行先のガイドや事業者など地元の人と”双方向”でやり取りをしながら楽しみます。現地に行かないため感染の心配はなく、旅行先にとっては特産品等の購入につなげることができるなど、双方にとってメリットがあります。コロナ後も、旅行者はオンラインツアーで事前に情報を取得し、旅行意欲を向上させ、実際の旅行につなげていくことが期待されます。
(図表7)国内の宿泊施設を選ぶ際により重視するようになったこと (複数回答)
<2022年の旅行>
4.2022年のカレンダーと主なイベント
2022年のカレンダーは、3連休以上が9回あります。昨年は6回、うちゴールデンウィーク(GW)の5連休とオリンピックに関連する4連休がありました。今年のGWは5月2日(月)、6日(金)を休めば4月29日(金)から5月8日(日)まで10連休、8月は8月12日(金)を休めば4連休となります。9月の祝日による連休は、9月19日(月)の敬老の日を含む3連休と9月23日(金)の秋分の日を含む3連休との2回となり、遅い夏休みをとる人も想定されますが、長期休暇が取りにくい日並びと言えます。
2022年の大型イベントとしては、まず3年ぶりの瀬戸内国際芸術祭が挙げられます。春、夏、秋の3期間、それぞれ約1カ月ずつ開催される予定です。長野県では7年ぶりの「善光寺御開帳(長野市)」と「諏訪大社御柱大祭(諏訪市)」が行われます。善光寺御開帳は例年4月上旬から5月末の約2カ月ですが、今回は密を避けるための配慮から、6月末までの約3カ月間に期間が延長される予定です。
2022年に開業予定の話題の施設は、「東京ディズニーリゾート・トイ・ストーリー®ホテル(4月5日)」や愛知万博後の未利用地を生かした「ジブリパーク(11月1日)」など人気アニメの世界観を再現したものがあります。ユニバーサル・スタジオ・ジャパンでも、人気キャラクターとコラボしたプロジェクトが予定されています。 また、1月には横浜市に体験型の「森永エンゼルミュージアムMORIUM」、2月には大阪市に「大阪中之島美術館」が開館しました。九州では4月に「対馬美術館」が、9月には武雄温泉~長崎間を結ぶ西九州新幹線が開業予定です。
5.2022年の国内旅行市場について
2022年の旅行市場として国内旅行者数は、国や行政による緊急事態宣言やまん延防止等重点措置などの発出が早期終了し、ある程度感染症が抑制された状況が続いた場合2億6,000万人(2021年比97%増、2020年比73%増、2019年比11%減)と推計します。なお、消費額は算出しませんが、新型コロナの感染状況が落ち着いた状況が続けば、旅行日数は長くなり、また、遠方への国内旅行が増加するので、単価が上がり、総額は高くなります。
内閣府が昨年末に公表した『令和4年度(2022年度)政府経済見通しの概要』によると、新型コロナの影響を受けなければ2022年のGDPは名目、実質ともに大幅な伸びになると予測しています(図表8)。
コロナ禍では人々は旅行控えを余儀なくされますが、旅行意欲は必ずしも失われているわけではありません。JTB総合研究所『新型コロナウイルス感染拡大による、暮らしや心の変化と旅行に関する意識調査』(2021年10月)によると、今後(10月以降)の旅行を検討している人は4割にのぼり、旅行意欲の高さがうかがえます(図表9)。オミクロン株により、2022年の旅行は年初から厳しい状況となっていますが、オミクロン株が早々に収束し、春休みシーズンをはじめゴールデンウィーク、そして夏から秋に至るまで感染が落ち着くようになれば、経済活動が活発化し、旅行需要の高まりにつながることが期待できます。
また、JTBでは、2021年11月に実施した旅行動向アンケートにおいて、「今後1年間の旅行の支出に対する意向」を「2019年以前(コロナ前)」「2020年以降(コロナ禍)」それぞれについて比較して聞きました。その結果、「2019年以前(コロナ前)と比較した支出意向」「2020年以降(コロナ禍)と比較した支出意向」はいずれも「支出を減らしたい」が「支出を増やしたい」を上回っており、2022年の旅行支出は一層厳しいものになると思われます。ただし、「2020年以降(コロナ禍)より旅行支出を増やしたい(17.3%)」は「2019年以前(コロナ前)より旅行支出を増やしたい(11.2%)」を6.1ポイント上回り、逆に「2020年以降(コロナ禍)より旅行支出を減らしたい(33.8%)」は「2019年以前(コロナ前)より旅行支出を減らしたい(34.3%)」を0.5ポイント下回ったことから、減少傾向はゆるやかになっており、消費支出の今後の持ち直しに期待がかかります(図表10)。
しかしながら、新型コロナの負の影響は経済面にも及んでいます。感染者の増加や移動制限などによるサプライチェーンの崩壊と物流の停滞、それに伴う原材料費の高騰、不安定な気候による作物の収穫減などに見舞われ、あらゆる商品の価格(物価)上昇が発生しています(図表11)。これにより家計の負担は増すこととなり、人々は旅行などの消費にまわす余裕がなくなってしまうおそれがあります。12月の消費者物価指数は、前年同月比で0.5%上昇しており、4カ月連続で増加となっています。また世界的な金融緩和縮小の動きの影響を受け、日本でもメガバンクが住宅ローンの固定型10年の基準金利を引き上げ、6年ぶりの高水準になりました。さらに2月2日発表のレギュラーガソリン1リットル当たりの給油所店頭価格(1月31日時点)は、全国平均で前週比70銭高の170円90銭で、約13年ぶりの高値となっており、消費者の日常生活に影響がでている可能性があります。
新型コロナの影響は2年以上に及んでおり、観光地や観光関連事業者の疲弊度は限界に達しています。一方、前述のとおり、物価高は旅行需要を低下させるおそれがあります。旅行することで人々が元気になり、景気回復につなげていくためにも、需要喚起策を投じて一定期間経済を回すことが求められます。
(図表8) GDP成長率と寄与度(政府経済見通し)
(図表9) 今後予定・検討している国内旅行の時期(性年代別) (単数回答)
(図表10)今後1年間の旅行支出に対する意向 (単一回答)
(図表11)消費者物価指数の推移
6.国内旅行のトピックと新しい旅行スタイル
観光業界全体でカーボンオフセット※2の仕組みを利用したCO₂の排出に考慮した旅行の品揃えを増やすことや、宿泊施設の歯ブラシを再資源化が可能なものに置き換えるなど、個人が旅行中に意識しなくとも、SDGsへの貢献に自動的に取り組めるサービスの提供が始まっています。
JTB総合研究所が2022年1月に発表した『SDGsに対する生活者の意識と旅行についての調査(2022)』によると、旅行者(過去3年間の旅行経験者)の SDGs の認知度、重要性の認識、そして日常生活での実践度は、すべての質問項目において、旅行しない人を含む生活者より高くなっています。一方で、SDGs のゴールにつながりそうな具体的な行動をいくつか例示し、日常生活と旅行中での実践状況を自己評価してもらった結果は、日常生活で 7 割実施できているような行動も、旅行中では著しく低くなることが分かりました。
また、コロナ禍で急速に進んだデジタル化と衛生的な安心・安全を求める動きは、新しい旅行のスタイルを作り、その取り組みが各地で定着しつつあります。旅行の目的や方面の選定については、他人との接触を避け、「密」を避けるために、キャンプやグランピングといった自然の中で過ごす意向が高くなっています。
アドベンチャーツーリズム(以下AT)への注目も高まっています。ATは、「自然とのふれあい」「文化交流」「フィジカルなアクティビティ」のうち、ふたつ以上の要素を持つ旅行です。自然の中でのアクティビティを通じて地域の文化と自然を体験することで、自身の成長・変革と地域経済への貢献を実現することを目的としており、サステナビリティや旅行を通じた地域貢献を重要視する旅行として注目されています。
※2カーボンオフセットとは、日常生活や経済活動において、避けることができないCO₂等の温室効果ガスの排出について、まずできるだけ排出量が減るよう削減努力を行い、どうしても排出される温室効果ガスについて、排出量に見合った温室効果ガスの削減活動に投資すること(グリーン電力購入、植林活動、排出権購入など)等により、排出される温室効果ガスを埋め合わせるという考え方です。
*2020年、2021年については新型コロナウイルス感染症によるパンデミックの影響により、実績推計は未発表
当調査は、1泊以上の日本人の旅行(ビジネス・帰省を含む)と訪日外国人旅行について、各種経済動向や消費者行動調査、運輸・観光関連データ、JTBグループが実施したアンケート調査などから推計したもので、1981年より継続的に調査を実施しています。推計した2022年の旅行市場規模は次のとおりです。
(図表1)2022年 年間旅行動向推計数値 ※国内旅行のみを対象

*前年比は小数点第二位以下を四捨五入。国内旅行人数は宿泊を伴う旅行者の人数(観光および帰省目的の旅行に限る)
昨年に引き続き、少人数の旅行が中心となり、感染症対策をした上での「エリアツーリズム」※1の傾向が続くと考えられます。なお、感染状況が落ち着き安定した状態が続けば、遠方への旅行も回復してくる可能性があります。
※1JTBでは「エリアツーリズム」を地元(居住地域)にとどまらず、都道府県内及び近隣県の広域にわたり、正しい感染防止対策を取ったうえで楽しむ旅行と定義しています。
<新型コロナウイルス感染症の状況と社会経済の動き>
1.2021年までの新型コロナの状況と旅行の動き
2019年末から世界に感染が拡大した新型コロナは、2022年2月11日現在、全世界で4億人以上が感染し、570万人以上が死亡しました(AFP通信による各国発表の集計数値)。感染拡大当初は、緊急事態宣言などにより、各国で都市封鎖など人々の行動は制限され、経済活動の停滞を余儀なくされました。その後、ワクチン接種や服用薬の開発が進み、移動の正常化に向けて舵を切る国が増えています。現在、欧州ではオミクロン株流行のピークを超え、イギリスやデンマークなどの一部の国でマスクの着用義務の撤廃が始まっています。アジアは比較的慎重な国が多いのですが、ワクチン接種完了やPCR検査の陰性証明などの条件付きで、タイが2月1日から、オーストラリアは2月21日から隔離措置なしでの、外国人観光客の受け入れを再開しました。さらにマレーシア(3月1日)やベトナム(3月15日)でも同様の対応による、外国人観光客の受け入れ再開が予定されています。一方で、日本や中国は慎重な姿勢を続け、国ごとの対応が分かれています。
日本国内は、2020年春以降、新型コロナの感染拡大を何度も繰り返してきました。特に2021年は9月末に緊急事態宣言などが全面解除されるまでの大半が宣言下にありました。2022年は新年早々に、既に欧米で感染爆発が起きていたオミクロン株による感染が全国に急拡大しました。1月9日に広島、山口、沖縄に発出されたまん延防止等重点措置は、その後36都道府県が対象になりました。2月5日には1日当たりの感染者数が初めて10万人を超え、2月21日時点で国内の累計感染者は450万人以上となりました。オミクロン株による感染再拡大で、濃厚接触者の自宅待機や学級閉鎖などが増え、日常生活に支障が出ています。
旅行については、2020年4月以降、訪日旅行、日本人の海外旅行ともに需要がほぼ消失し、国内旅行も需要は大きく落ち込みました。2020年の感染拡大が落ち着いた期間にGoToトラベルキャンペーンによる需要喚起策が図られましたが、その後感染拡大を繰り返し、特に2021年はゴールデンウィーク、夏休みのピーク期間を含む大半において緊急事態宣言などが発出され、旅行者数は低迷しました。その後、9月末で緊急事態宣言が全面解除になり、旅行は回復に転じ、12月の日本人の延べ宿泊者数は2019年を超えましたが、現在のオミクロン株の流行で、本格的な旅行回復の道筋は見えていません(図表2)。
(図表2)国内の延べ宿泊者数(含む訪日旅行者)と新型コロナ新規感染者数の推移

2.旅行を取り巻く経済環境と暮らし向き
では、コロナ禍で旅行消費を取り巻く景況感はどうなっているのでしょうか。景気DI(現状)の推移をみると、2021年は9月まで特に飲食関連、サービス関連で悪い傾向が続きましたが、緊急事態宣言の全面解除により10月以降はいずれも良化し、明るい兆しが見られました(図表3)。また、雇用に関しては、総務省の発表によると、2021年12月の完全失業率は2.7%で、前月から0.1ポイント改善しました。また有効求人倍率(季節調整値)は1.16倍と、前月から0.01ポイント上昇しています。
可処分所得は新型コロナの感染拡大が始まった2020年以降、前年の反動があった2021年4~6月を除くとプラスで推移しています。家計金融資産は2020年3月末を底に増加の一途をたどり、2021年9月末時点で2,000兆円に迫る勢いとなっています(図表4、5)。先行き不透明な景況感に貯蓄意識が高まるとともに、2020年10月~12月のGoToトラベルキャンペーンの実施期間は消費支出が伸びていたことから、外出や旅行に関わる消費が感染拡大で抑えられていると考えられ、感染状況が落ち着けば、今後の旅行消費に期待が高まります。一方で、暮らし向き(ゆとり)については2021年9月まで「ゆとりがなくなった」が減少傾向を示していたものの、12月に増加に転じており、今後の消費への影響が不安視されます(図表6)。
(図表3)景気DI(現状)の推移(月別)

(図表4)可処分所得及び消費支出の対前年同期比推移(四半期別)

(図表5) 家計金融資産の推移(四半期別)

(図表6)暮らし向き(ゆとり)の状況推移

3.コロナ禍における生活の変化と旅行
新型コロナは私たちの生活スタイル全般や旅行にさまざまな変化を及ぼすことになりました。
生活全般で起きた変化 働き方が大きな影響を受け、リモートワークが広がりました。手軽に利用できる会議用デジタルツールが普及したこともあり、出社せずに自宅やその周辺のホテル・貸会議室など、さらには遠方の実家やリゾート地なども仕事場とすることが可能となり、ワーケーションが注目されるようになりました。教育面では、オンライン授業の導入が一気に進みました。生活面では、外出制限により自宅で用事を済ます機会が増え、食品をはじめとする生活用品の購入はネット注文、自宅配送が急激に伸びました。それに合わせて飲食店なども宅配サービスを始めるところが増えました。
日常生活で従来にないサービスが広がる一方で、リモートワークでは、通勤客の減少による鉄道収入の低下、夜の会合の減少による飲食店の売り上げ減少などがみられ、学校のオンライン授業化により人と直接触れ合う機会が減り、外出制限では心身のストレスが増加するなど課題が浮き彫りになっています。
旅行で起きた変化 新型コロナの影響は、旅行意識や行動にも変化をもたらしています。感染予防の観点から、旅行日数は短く、行先は居住地のある都道府県内もしくはその周辺、移動手段は公共交通を避け自家用車を利用、同行者は家族など近しい人(少人数)という「エリアツーリズム」が主流となりました。年配層(特に女性)は旅行を控え、逆に若者の旅行意欲は高い傾向がみられます。
旅行先では次のような変化がみられました。
●旅行先ではなるべく他人と接しない行動がとられるようになりました。宿泊は離れやコテージなどの1棟貸し、もしくはキャンプ場に人気が集まり、共有スペースの利用は避けるようになりました。
●旅行者自身の感染防止意識はコロナ禍が長引くほど強まる傾向が見られます。JTB総合研究所が実施した『新型コロナウイルス感染拡大による、暮らしや心の変化と旅行に関する意識調査』のなかで、旅行者が国内において宿泊施設を選ぶ際に重視する点について、2020年9月と2021年10月の調査結果を比較したところ、ほぼすべての項目で2021年10月調査の方がより強い感染防止対策を望む結果となりました。特に食事については、「個室で食事ができること(2021年10月調査 26.0%、+5.5 ポイント)」、「部屋食で食事ができること(同 25.6%、+5.5 ポイント)」との結果となり、いずれも大きく上昇しました(図表7)。
●前述の調査結果において、国内の宿泊施設を選ぶ際により重視するようになったこととして「宿泊施設のある街や地域から、旅行者に対して歓迎の意思が感じられること(17.1%)」が増加しており、旅行先への配慮がうかがえます。
●一方、コロナ禍でも「地元の人との交流」を促す動きが出てきました。その中で注目を集めているのが「オンラインツアー」です。これはインターネットを介してWEB 上(オンライン)で行う旅行のことで、旅行先のガイドや事業者など地元の人と”双方向”でやり取りをしながら楽しみます。現地に行かないため感染の心配はなく、旅行先にとっては特産品等の購入につなげることができるなど、双方にとってメリットがあります。コロナ後も、旅行者はオンラインツアーで事前に情報を取得し、旅行意欲を向上させ、実際の旅行につなげていくことが期待されます。
(図表7)国内の宿泊施設を選ぶ際により重視するようになったこと (複数回答)

<2022年の旅行>
4.2022年のカレンダーと主なイベント
2022年のカレンダーは、3連休以上が9回あります。昨年は6回、うちゴールデンウィーク(GW)の5連休とオリンピックに関連する4連休がありました。今年のGWは5月2日(月)、6日(金)を休めば4月29日(金)から5月8日(日)まで10連休、8月は8月12日(金)を休めば4連休となります。9月の祝日による連休は、9月19日(月)の敬老の日を含む3連休と9月23日(金)の秋分の日を含む3連休との2回となり、遅い夏休みをとる人も想定されますが、長期休暇が取りにくい日並びと言えます。
2022年の大型イベントとしては、まず3年ぶりの瀬戸内国際芸術祭が挙げられます。春、夏、秋の3期間、それぞれ約1カ月ずつ開催される予定です。長野県では7年ぶりの「善光寺御開帳(長野市)」と「諏訪大社御柱大祭(諏訪市)」が行われます。善光寺御開帳は例年4月上旬から5月末の約2カ月ですが、今回は密を避けるための配慮から、6月末までの約3カ月間に期間が延長される予定です。
2022年に開業予定の話題の施設は、「東京ディズニーリゾート・トイ・ストーリー®ホテル(4月5日)」や愛知万博後の未利用地を生かした「ジブリパーク(11月1日)」など人気アニメの世界観を再現したものがあります。ユニバーサル・スタジオ・ジャパンでも、人気キャラクターとコラボしたプロジェクトが予定されています。 また、1月には横浜市に体験型の「森永エンゼルミュージアムMORIUM」、2月には大阪市に「大阪中之島美術館」が開館しました。九州では4月に「対馬美術館」が、9月には武雄温泉~長崎間を結ぶ西九州新幹線が開業予定です。

5.2022年の国内旅行市場について
2022年の旅行市場として国内旅行者数は、国や行政による緊急事態宣言やまん延防止等重点措置などの発出が早期終了し、ある程度感染症が抑制された状況が続いた場合2億6,000万人(2021年比97%増、2020年比73%増、2019年比11%減)と推計します。なお、消費額は算出しませんが、新型コロナの感染状況が落ち着いた状況が続けば、旅行日数は長くなり、また、遠方への国内旅行が増加するので、単価が上がり、総額は高くなります。
内閣府が昨年末に公表した『令和4年度(2022年度)政府経済見通しの概要』によると、新型コロナの影響を受けなければ2022年のGDPは名目、実質ともに大幅な伸びになると予測しています(図表8)。
コロナ禍では人々は旅行控えを余儀なくされますが、旅行意欲は必ずしも失われているわけではありません。JTB総合研究所『新型コロナウイルス感染拡大による、暮らしや心の変化と旅行に関する意識調査』(2021年10月)によると、今後(10月以降)の旅行を検討している人は4割にのぼり、旅行意欲の高さがうかがえます(図表9)。オミクロン株により、2022年の旅行は年初から厳しい状況となっていますが、オミクロン株が早々に収束し、春休みシーズンをはじめゴールデンウィーク、そして夏から秋に至るまで感染が落ち着くようになれば、経済活動が活発化し、旅行需要の高まりにつながることが期待できます。
また、JTBでは、2021年11月に実施した旅行動向アンケートにおいて、「今後1年間の旅行の支出に対する意向」を「2019年以前(コロナ前)」「2020年以降(コロナ禍)」それぞれについて比較して聞きました。その結果、「2019年以前(コロナ前)と比較した支出意向」「2020年以降(コロナ禍)と比較した支出意向」はいずれも「支出を減らしたい」が「支出を増やしたい」を上回っており、2022年の旅行支出は一層厳しいものになると思われます。ただし、「2020年以降(コロナ禍)より旅行支出を増やしたい(17.3%)」は「2019年以前(コロナ前)より旅行支出を増やしたい(11.2%)」を6.1ポイント上回り、逆に「2020年以降(コロナ禍)より旅行支出を減らしたい(33.8%)」は「2019年以前(コロナ前)より旅行支出を減らしたい(34.3%)」を0.5ポイント下回ったことから、減少傾向はゆるやかになっており、消費支出の今後の持ち直しに期待がかかります(図表10)。
しかしながら、新型コロナの負の影響は経済面にも及んでいます。感染者の増加や移動制限などによるサプライチェーンの崩壊と物流の停滞、それに伴う原材料費の高騰、不安定な気候による作物の収穫減などに見舞われ、あらゆる商品の価格(物価)上昇が発生しています(図表11)。これにより家計の負担は増すこととなり、人々は旅行などの消費にまわす余裕がなくなってしまうおそれがあります。12月の消費者物価指数は、前年同月比で0.5%上昇しており、4カ月連続で増加となっています。また世界的な金融緩和縮小の動きの影響を受け、日本でもメガバンクが住宅ローンの固定型10年の基準金利を引き上げ、6年ぶりの高水準になりました。さらに2月2日発表のレギュラーガソリン1リットル当たりの給油所店頭価格(1月31日時点)は、全国平均で前週比70銭高の170円90銭で、約13年ぶりの高値となっており、消費者の日常生活に影響がでている可能性があります。
新型コロナの影響は2年以上に及んでおり、観光地や観光関連事業者の疲弊度は限界に達しています。一方、前述のとおり、物価高は旅行需要を低下させるおそれがあります。旅行することで人々が元気になり、景気回復につなげていくためにも、需要喚起策を投じて一定期間経済を回すことが求められます。
(図表8) GDP成長率と寄与度(政府経済見通し)

(図表9) 今後予定・検討している国内旅行の時期(性年代別) (単数回答)

(図表10)今後1年間の旅行支出に対する意向 (単一回答)

(図表11)消費者物価指数の推移

6.国内旅行のトピックと新しい旅行スタイル
観光業界全体でカーボンオフセット※2の仕組みを利用したCO₂の排出に考慮した旅行の品揃えを増やすことや、宿泊施設の歯ブラシを再資源化が可能なものに置き換えるなど、個人が旅行中に意識しなくとも、SDGsへの貢献に自動的に取り組めるサービスの提供が始まっています。
JTB総合研究所が2022年1月に発表した『SDGsに対する生活者の意識と旅行についての調査(2022)』によると、旅行者(過去3年間の旅行経験者)の SDGs の認知度、重要性の認識、そして日常生活での実践度は、すべての質問項目において、旅行しない人を含む生活者より高くなっています。一方で、SDGs のゴールにつながりそうな具体的な行動をいくつか例示し、日常生活と旅行中での実践状況を自己評価してもらった結果は、日常生活で 7 割実施できているような行動も、旅行中では著しく低くなることが分かりました。
また、コロナ禍で急速に進んだデジタル化と衛生的な安心・安全を求める動きは、新しい旅行のスタイルを作り、その取り組みが各地で定着しつつあります。旅行の目的や方面の選定については、他人との接触を避け、「密」を避けるために、キャンプやグランピングといった自然の中で過ごす意向が高くなっています。
アドベンチャーツーリズム(以下AT)への注目も高まっています。ATは、「自然とのふれあい」「文化交流」「フィジカルなアクティビティ」のうち、ふたつ以上の要素を持つ旅行です。自然の中でのアクティビティを通じて地域の文化と自然を体験することで、自身の成長・変革と地域経済への貢献を実現することを目的としており、サステナビリティや旅行を通じた地域貢献を重要視する旅行として注目されています。
※2カーボンオフセットとは、日常生活や経済活動において、避けることができないCO₂等の温室効果ガスの排出について、まずできるだけ排出量が減るよう削減努力を行い、どうしても排出される温室効果ガスについて、排出量に見合った温室効果ガスの削減活動に投資すること(グリーン電力購入、植林活動、排出権購入など)等により、排出される温室効果ガスを埋め合わせるという考え方です。
◆2004年~2019年の推計、2020年の見通し数値

*2020年、2021年については新型コロナウイルス感染症によるパンデミックの影響により、実績推計は未発表
このプレスリリースには、メディア関係者向けの情報があります
メディアユーザーログイン既に登録済みの方はこちら
メディアユーザー登録を行うと、企業担当者の連絡先や、イベント・記者会見の情報など様々な特記情報を閲覧できます。※内容はプレスリリースにより異なります。
すべての画像
