2022年 世界主要国のビール消費量 ~不安定な世界情勢の中、コロナ禍前の規模に回復~

トピックス |
■世界のビール総消費量は、約1億9,210万kl(前年比2.9%増)で、2019年と比較して1.0%増加し、コロナ禍からの回復傾向が見られる。東京ドームをジョッキに見立てると、約155杯分に相当。 ■国別では、中国(前年比1.0%増)が20年連続で1位。日本(前年比2.5%増)はやや増加するも、2年連続で順位を落とし10位。ウクライナ(前年比25.7%減)は、2021年18位から2022年27位に順位を大きく落とした。 ■上位10か国では、アメリカ、ドイツ、イギリス、日本がコロナ禍前の2019年比においてマイナスで着地。 ■地域別では、アジア(前年比4.9%増)の構成比が33.9%となり、15年連続で1位。 |
2022年の世界のビール総消費量は、新型コロナウイルス感染症の影響緩和により前年より約540万kl(大びん633ml換算で約85億本)増え、約1億9,210万kl(前年比2.9%増、大びん633ml換算で約3,035億本)となりました。東京ドームをジョッキに見立てると、約155杯分(東京ドーム1杯は約124万kl)に相当します。
1.国別ビール消費量(表1)
・中国(前年比1.0%増)が2003年から20年連続で1位となりました。
・日本(前年比2.5%増)は2020年まで14年間7位でしたが、2021年8位、2022年は10位と
なりました。
・上位25か国に入っていたウクライナ(前年比25.7%減)は、2021年18位から2022年27位に
順位を大きく落としました。
2.地域別ビール消費量(表2)
・15年連続トップのアジア(前年比4.9%増)は、ベトナム(前年比27.0%増)、インド(前年比
21.6%増)などが増加し、前年増になりました。
3.国別一人当たりビール消費量(表3)
・チェコ共和国が188.5Lで、1993年から30年連続で1位となりました。
・上位35カ国のうち、前年より消費量が減った国は8カ国でした。
・日本は34.2L、大びん633ml換算で約54.0本(前年+1.5本)と前年増になりました。
キリングループは、自然と人を見つめるものづくりで、「食と健康」の新たなよろこびを広げ、こころ豊かな社会の実現に貢献します。
出典: ・各国ビール協会などへのアンケート調査 (当社が実施したもの)
・BarthHaas-Report-2022-2023 (BARTH−HAAS GROUP)
・Beer Market Data Extract 2023 (GlobalData Plc)
※調査期間:2022年1~12月
※2013年度以降、調査データ会社を変更したため、過去レポートと数値が合致しないこともある
・2021年・2022年の日本の消費量は株式会社醸造産業新聞社の推計による
※日本の消費量については、ビール、発泡酒、新ジャンルの合計
注: ・四捨五入のため、数値が必ずしも一致しない場合がある
・前年実績が今年の調査で変更になった国については、変更した数値で前年比を算出している
※前年の世界総消費量も最新の値に変更している(1億8,560万kl ⇒ 1億8,670万klへ変更)
(表1) 2022年 国別ビール消費量

【解説】
・世界の総消費量は、約1億9,210万kl。新型コロナウイルス感染拡大などの影響を受ける国もあるものの、2021年に続き回復が見られ、前年比2.9%増となった。
・中国(前年比1.0%増)は20年連続で1位となった。その他の主要国を見ると、アメリカ(前年比4.2%減)、ロシア(前年比4.9%減)、イギリス(前年比0.4%減)はダウントレンド。
・2000年から上位25か国に入っていたウクライナ(前年比25.7%減)は、2021年18位から2022年27位に順位を大きく落とした。
・上位10か国でコロナ禍前の2019年(総消費量:約1億9,020万kl)と比較すると、アメリカ(19年比14.4%減)、ドイツ(19年比4.1%減)、イギリス(19年比2.7%減)、日本(19年比11.8%減)がマイナスで着地した。
(表2) 2022年 地域別ビール消費量


【解説】
・地域別では、アジア(前年比4.9%増)の構成比が33.9%と、15年連続で1位。
・ 1位のアジア(前年比4.9%増)は、ベトナム(前年比27.0%増)、インド(前年比21.6%増)などが増加し、前年を上回った。
・2位のヨーロッパ(前年比0.8%増)は、ロシア(前年比4.9%減)、ウクライナ(前年比25.7%減)などが減少となるも、ドイツ(前年比3.2%増)、スペイン(前年比7.5%増)などが増加し、前年を上回った。
・3位の中南米(前年比6.2%増)は、ブラジル(前年比3.6%増)、メキシコ(前年比14.5%増)などが増加し、前年を上回った。
・4位の北米(前年比4.0%減)は、アメリカ(前年比4.2%減)、カナダ(前年比2.0%減)がそれぞれ減少し、前年を下回った。
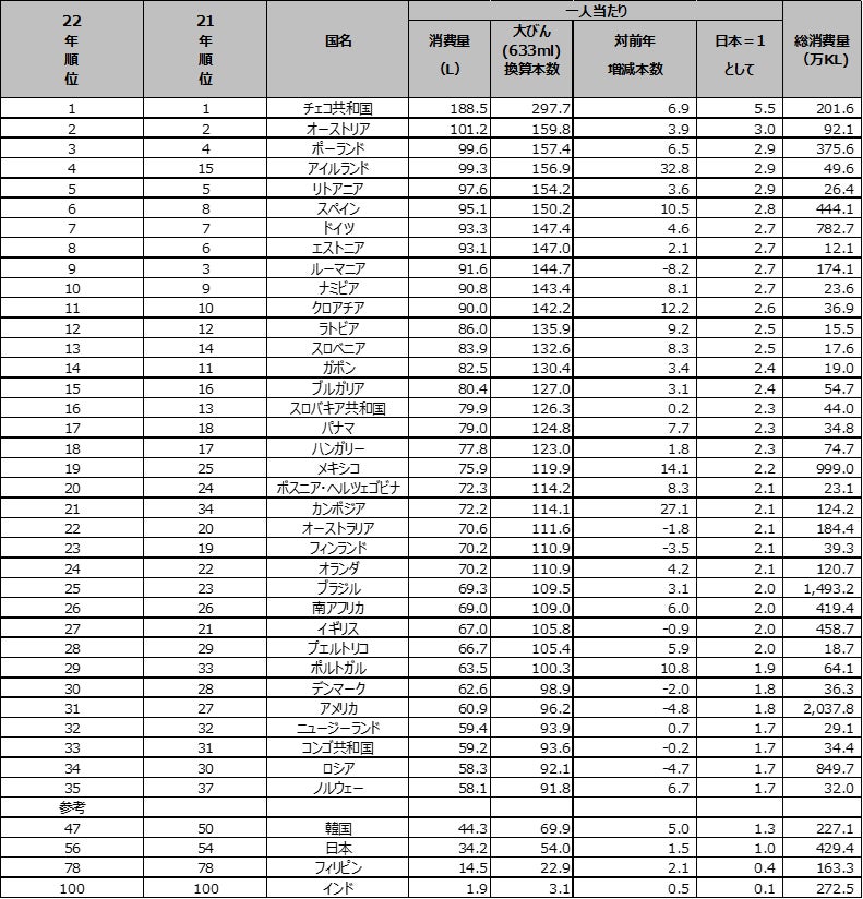
(表3)2022年 国別一人当たりビール消費量

【解説】
・チェコ共和国は30年連続で1位となった。
・上位35カ国では、消費が減った国は8カ国。
・アイルランドは2021年15位から、2022年は4位と急伸長している。
このプレスリリースには、メディア関係者向けの情報があります
メディアユーザー登録を行うと、企業担当者の連絡先や、イベント・記者会見の情報など様々な特記情報を閲覧できます。※内容はプレスリリースにより異なります。
すべての画像
