【新潟医療福祉大学】AED使用時、衣服を「切る」か「めくる」かで電気ショック実施に「24秒の差」一般市民によるAED使用を想定した研究
新潟医療福祉大学救急救命学科の大松健太郎准教授、外山元講師、竹井豊教授、4年生の松山嶺真さん、神谷寧々佳さん、室元次郎さん、常本純冴さん、大学院生の堀英治さんらの研究グループは、一般市民がAED(自動体外式除細動器)を使用する状況を想定したランダムにグループ分けしたシミュレーション研究を実施し、衣服の処理方法が除細動(電気ショック)実施までの時間に与える影響を検討しました。その結果、衣服の処理方法によって除細動までの時間に差が生じることが明らかとなりました。
本研究成果は2026年3月13日付でヨーロッパ蘇生協議会の国際誌「Resuscitation Plus」に掲載されました。
■研究について
【研究概要】
心停止の救命率は、迅速な心肺蘇生と早期除細動に大きく依存します。AEDパッドを正しい位置に貼付することは効果的な除細動のために重要であり、そのためには胸部を露出する必要があります。衣服がパッド貼付の妨げになる場合には、衣服を取り除くことが推奨されています。
しかし、AEDにはハサミが付属していることが多いものの、一般市民がハサミを用いて適切に衣服を除去し、迅速に除細動を行えるかについては十分な知見がありませんでした。
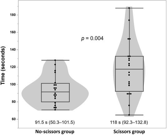
本研究では、医療従事者レベルの蘇生教育を受けていない大学生40名を対象に、一般市民が心停止に遭遇した場面を想定したシミュレーションを実施しました。参加者はランダムに2群に分けられ、
•ハサミを用いて衣服を切る方法
•ハサミを使わず衣服をめくるなどして胸部を露出する方法
のいずれかでAEDを使用しました。
その結果、AEDの電源投入から除細動までの時間は、ハサミを使用した群で中央値118秒、使用しなかった群で91.5秒となり、統計学的な推定で約24秒の遅れが確認されました(p=0.004)。

一方、AEDパッドの貼付位置の正確性については、両群で有意な差は認められませんでした。また、全体としてパッド貼付の正確率は必ずしも高くなく、一般市民によるAED使用では貼付位置の誤りが一定程度生じる可能性が示されました。
本研究は、一般市民が単独でAEDを使用する状況を想定したシミュレーション研究であり、医療従事者による救急現場の処置を評価したものではありません。したがって、訓練を受けた医療従事者等が衣服を裁断して胸部を露出する必要性を否定するものではありません。
【研究者のコメント】
◆救急救命学科 大松健太郎 准教授
AED自体は音声ガイダンスに従って操作すれば難しいものではありませんが、衣服の除去は訓練を受けていない場合に非常に困難な作業となることがあります。AEDキットには衣服を切るためのハサミが含まれていることが多いですが、一般市民にとって慣れていない器具の操作が処置の遅れにつながる可能性があります。AED教育の中で、衣服の扱い方やハサミ等の使用方法をどのように教えるべきかを検討する必要があります。
【原論文情報】
Kentaro Omatsu, Reishin Matsuyama, Neneka Kamitani, Genjiro Muro, Azusa Tsunemoto, Gen Toyama, Eiji Hori, Yutaka Takei. Effect of patient clothing removal with scissors on time to defibrillation by lay rescuers: A randomized controlled simulation trial. Resuscitation Plus. 28: 101281. 2026.
https://doi.org/10.1016/j.resplu.2026.101281
【研究者情報】
新潟医療福祉大学医療技術学部 救急救命学科
准教授 大松 健太郎
【問い合わせ】
新潟医療福祉大学 入試広報部広報課
所在地:新潟県新潟市北区島見町1398番地
TEL:025-257-4459
【新潟医療福祉大学】 https://www.nuhw.ac.jp/
全国でも数少ない、看護・医療・リハビリ・栄養・スポーツ・福祉・医療ITを学ぶ6学部16学科の医療系総合大学です。この医療系総合大学というメリットを最大限に活かし、本学では、医療の現場で必要とされている「チーム医療」を実践的に学ぶことができます。また、全学を挙げた組織的な資格取得支援体制と就職支援体制を構築し、全国トップクラスの国家試験合格率や高い就職実績を実現しています。さらに、スポーツ系学科を有する本学ならではの環境を活かし、「スポーツ」×「医療」「リハビリ」「栄養」など、スポーツと融合した学びを展開しています。
<NSGグループについて>
NSGグループは、教育事業と医療・福祉・介護事業を中核に、健康・スポーツや建設・不動産、食・農、商社、広告代理店、ICT、ホテル、アパレル、美容、人材サービス、エンタテイメント等の幅広い事業を展開する101法人で構成された企業グループです。それぞれの地域を「世界一豊かで幸せなまち」にすることを目指して、「人」「安心」「仕事」「魅力」をキーワードに、地域を活性化する事業の創造に民間の立場から取り組んでいます。
<NSGグループホームページ>
https://www.nsg.gr.jp/
このプレスリリースには、メディア関係者向けの情報があります
メディアユーザー登録を行うと、企業担当者の連絡先や、イベント・記者会見の情報など様々な特記情報を閲覧できます。※内容はプレスリリースにより異なります。
すべての画像
- 種類
- 調査レポート
- ダウンロード
