化粧品原料「高機能還元性イオン水S-100」がビタミンACEと類似の抗酸化活性を示し、表皮角化細胞を酸化ダメージから保護することを確認
ヨーロッパの名立たる化粧品・医薬品展示会で数々の賞を受賞した「高機能還元性イオン水S-100」。その抗酸化作用は細胞内でも働くことを確認し、その作用機序がビタミンACEと類似することを解明しました。
株式会社エー・アイ・システムプロダクト(代表取締役:岡島眞裕)、愛知淑徳大学・食健康科学部・健康栄養学科(教授:山本博之)および日本薬科大学・薬学部・分子機能科学分野(准教授:高城徳子)らは、化粧品原料等で使用される「高機能還元性イオン水S-100」※1(以下、S-100)が活性酸素種の一つであるヒドロキシラジカル※2を直接消去し、ヒトの表皮角化細胞中で抗酸化作用を持つことを確認しました。さらに、酸化ストレスを受けた角化細胞はS-100によって細胞活性を向上させる結果が得られました。この反応はビタミンACE(ビタミンA、ビタミンC、ビタミンE)の抗酸化作用の機序と類似しており、S-100が皮膚を保護する可能性を持つことを示唆しています。なお、本研究結果はDrug Discoveries & Therapeutics, 2024 Volume 18 Issue 5 Pages 303-307に掲載されました。
概要
-
S-100が活性酸素種(以下、ROS)の一つである、ヒドロキシラジカルを直接消去した。
-
酸化ストレスを受けたヒトの表皮角化細胞へS-100を塗布することで、細胞の酸化マーカーであるヘムオキシゲナーゼ-1(以下、HO-1)mRNAを低減させた。同時に、S-100は過酸化水素のトランスポーターとして働くアクアポリン3(以下、AQP3)mRNAを亢進させた。
-
酸化ストレスを与えた細胞へS-100を添加することにより、酸化ストレスのみを加えたときよりも細胞活性が増強した。
-
S-100は、➀細胞内に直接作用することでラジカルを消去したこと、➁AQP3を介して過酸化水素を細胞外へ排出させたことで表皮角化細胞での酸化損傷を抑制したと考えられる。これらの反応は、➀の抗酸化作用はビタミンC、E、➁はビタミンAの反応と類似であった。
背景
皮膚は紫外線などから生成されるROSによって、大きな損傷を受けることが知られています(図1)。表皮での過剰な ROS 生成を抑制し、身体を紫外線やその他の損傷から守ることは、皮膚の代謝機能として非常に重要です。高機能還元性イオン水S-100は強い還元性を有することを確認していましたが、細胞でのROSの消去にどのように関与するか明確ではありませんでした。そこで本研究では、ROSの中でも最も強い酸化力を持つヒドロキシラジカルへの作用と、角化細胞中での抗酸化作用について評価しました。

詳細
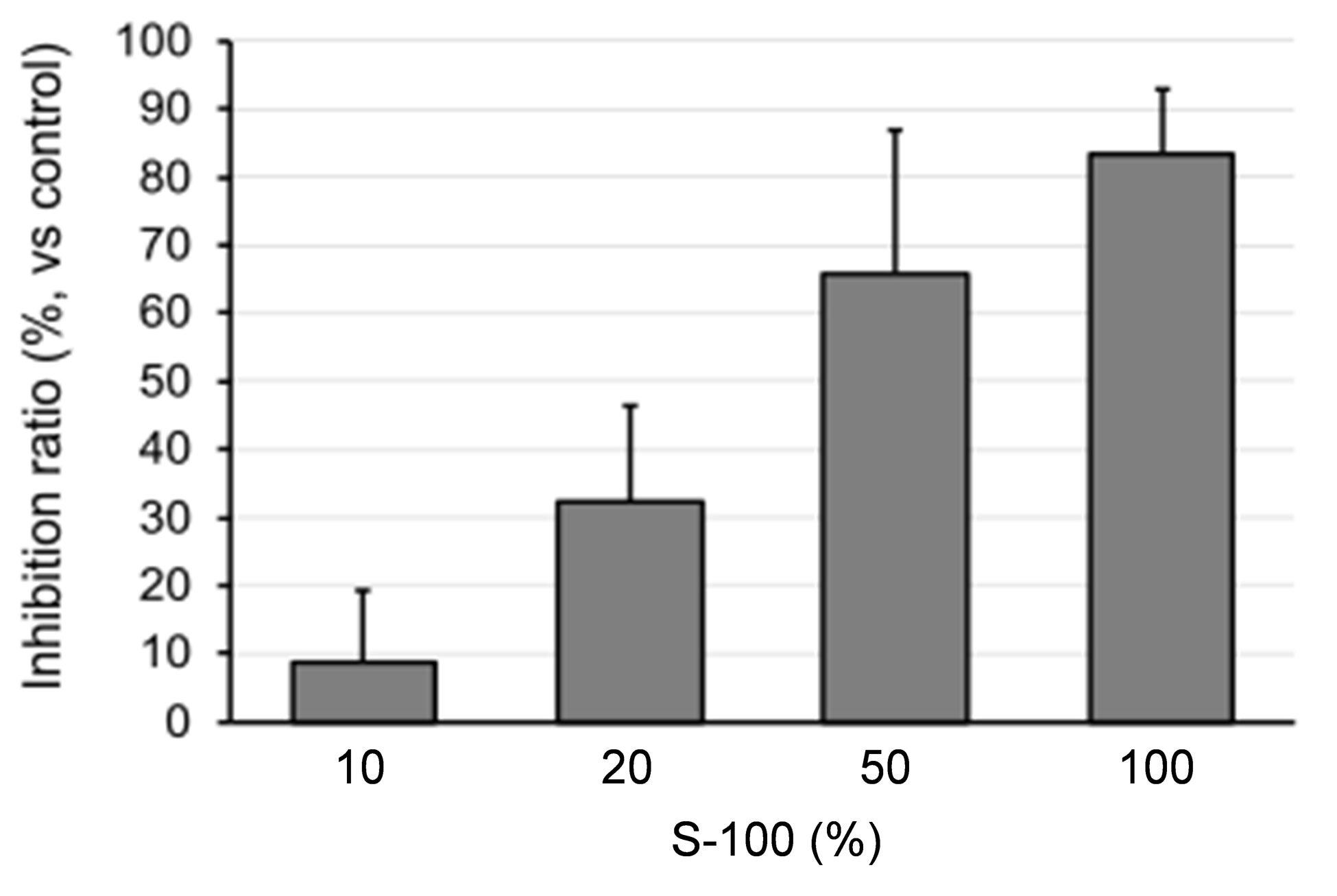
S-100のフリーラジカル消去能力を決定するため、ESRスピントラッピング法を用いてヒドロキシルラジカルへの効果を評価しました(図2)。図中のS-100濃度は、本試験系で混合できるS-100の最高濃度を100%としたときの相対濃度を表します。S-100は濃度依存的にヒドロキシルラジカルを直接消去することが確認されました。ビタミンC、ビタミンEはラジカル消去能を有することから、S-100はビタミンC、Eと同様の抗酸化活性を有することが示唆されます。

次に、表皮角化細胞へ酸化ストレスとして過酸化水素(以下、H2O2)を与えた時の、S-100の細胞内での抗酸化活性を評価しました。細胞の酸化ストレスの指標として、Nrf2-Keap1システム※3で応答性を持つHO-1 mRNAを評価しました(図3-(a))。S-100はHO-1 mRNAの発現を減少させ、細胞内で抗酸化活性を持つことが示されました。さらに、H2O2のトランスポーターであるAQP3の発現に対するS-100の影響を調べた結果、H2O2はAQP3 mRNAの発現に影響を与えませんでしたが、S-100はAQP3の発現を有意に増強させました(図3-(b))。この結果は、S-100がAQP3を介した細胞保護機能を発揮することを示唆しています。AQP3を介した抗酸化特性はレチノイン酸の作用機序として報告されています。つまり、S-100の抗酸化活性はビタミンAの反応を有することが示唆されます。

S-100によるH2O2の細胞障害への阻害効果を評価しました(図4)。S-100はH2O2による細胞障害を阻害し、細胞活性を向上させました。この結果は、上述したS-100が持つ2つの作用、細胞内に直接作用することでラジカルを消去したこと、AQP3を介して過酸化水素を細胞外へ排出させたことにより角化細胞での酸化損傷を抑制したと考えらます。

本研究より、S-100が持つラジカル消去能と細胞での抗酸化活性の反応が確認できました。これらの反応は、ビタミンA、ビタミンC、ビタミンEと類似しており、紫外線、アトピー性皮膚炎、火傷、炎症によって発生するROSなどの因子によって角質層が損傷されたときに、S-100が皮膚を保護する可能性を持つことを示唆しています。今後はこれら知見を基に、S-100が持つ細胞内の抗酸化活性に着目し、S-100の水としての機能性の研究を進めます。
用語解説
※1 高機能還元性イオン水S-100:水とミネラル塩のみで構成されたアルカリ性(弱塩基)と還元性(抗酸化)を有したミネラルウォーター。一般的なアルカリ電解水/還元水が持つ特性とは異なり、S-100はこれまでにセラミド合成に関与する遺伝子発現を増強させ、皮膚の火傷やアトピー性皮膚炎の改善などの有効性を持つことが報告されている。化粧品、医療用途など国内外の様々な製品に使用されており、ヨーロッパではS-100の有効性が認められ、化粧品、医薬品の分野で様々な賞を獲得している(表1)。
※2 ヒドロキシラジカル:ROSの中で最も酸化力が強いラジカルであり、DNAや細胞損傷を引き起こす。H2O2への紫外線、または二価鉄の反応によって生成される。
※3 Nrf2-Keap1システム:細胞の酸化ストレスを消去または排出するために、代謝酵素や抗酸化ストレスタンパク質などの遺伝子群を発現させるシステム。細胞損傷、炎症反応など細胞内のさまざまな有害事象を抑制する生体メカニズムを担う。

|
2017年10月 |
|
2018年3月 マドリード・ユーロスターズマドリードタワーの医薬品展示会「CPhI Pharma」にて医薬品賦形剤としてファイナリストを受賞。 |
|
2020年3月 ハンブルグのBSB社主催「BSB Innovation Award 2020」にて化粧品原料として3位。 |



研究者情報
山本 博之 教授/愛知淑徳大学・食健康科学部・健康栄養学科
高城 徳子 准教授/日本薬科大学・分子機能科学分野
山田 俊幸 教授/日本薬科大学・生命科学薬学分野
池田 満雄 薬学博士/株式会社エー・アイ・システムプロダクト
岡島 儀尚 客員研究員(工学博士)/明治薬科大学、専務取締役/株式会社エー・アイ・システムプロダクト
岡島 眞裕 客員教授/明治薬科大学、代表取締役/株式会社エー・アイ・システムプロダクト
論文情報
雑誌名: Drug Discoveries & Therapeutics
題名: Electrolytic-reduction ion water protects keratinocytes from hydrogen peroxide through radical scavenging activity and induction of AQP3 expression
リンク先: https://doi.org/10.5582/ddt.2024.01054
DOI: 10.5582/ddt.2024.01054

株式会社エー・アイ・システムプロダクト
ヒト、動物、モノ、環境に優しく、様々な機能性を有した製品の研究・開発・製造を行っています。その分野は多岐にわたり、国内外の様々な大学、研究機関と共に研究し、高い信頼性を持ったデータを基に化粧品をはじめ、医薬・医療、工業などの分野にて事業展開しています。
当社が持つ世界でオンリーワンの技術により、極めて高い品質と機能性を有した製品を提供する会社です。
このプレスリリースには、メディア関係者向けの情報があります
メディアユーザー登録を行うと、企業担当者の連絡先や、イベント・記者会見の情報など様々な特記情報を閲覧できます。※内容はプレスリリースにより異なります。
すべての画像
