岸田内閣支持率29%、2カ月で23㌽の下落
~新型コロナ対策、旧統一教会問題、物価対策、安倍元首相国葬で否定的評価が多数~
社会調査研究センター(本社:さいたま市、代表取締役社長:松本正生)は、2022年9月17日(土)~18日(日)にかけて、RDD方式による全国世論調査を実施し、岸田内閣の支持率が前回(8月)から7㌽減の29%となりました。参院選直後の支持率(52%)から2カ月で23㌽の下落となります。すべての年代で不支持率が支持率を大きく上回ったほか、新型コロナ対策や旧統一教会問題、物価対策、安倍晋三元首相の国葬で否定的評価が多数となり、岸田内閣の厳しい状況が浮き彫りになりました。

<調査手法について> https://ssrc.jp/materials/159175689910301.pdf
調査トピックス
1.岸田内閣支持率続落、29%に。全世代で不支持が支持を大きく上回る
2.新型コロナ対策、旧統一教会問題、物価対策も全世代で否定的評価が多数
3.安倍元首相国葬への反対増加の一方、賛否に年代差
■岸田内閣 : 支持率29% vs 不支持率64%
今月の岸田内閣支持率は、前回(8月)から7ポイント減の29%、不支持率は10ポイント増の64%となり、不支持が支持を大きく上回りました。参院選直後の7月の支持率=52%からは、2か月でマイナス23ポイントという大幅な低落となりました。
【表1】は、岸田内閣の支持・不支持と政権の新型コロナ対策評価について、推移をまとめたものです。7月以降の新型コロナウィルス感染の拡大局面が、ここに来てやや収まったとはいえ、岸田政権のコロナ対策を「評価する」比率は25%に低迷したままの状態です。
【表1】岸田内閣支持・不支持とコロナ対策評価

〔図1〕をご覧ください。年齢別の内閣支持率・不支持率を示しています。参院選前の岸田内閣支持率は、(左図のように)「若低-老高」型という、かつての、いわば55年体制時代の自民党政権の支持構造を特徴としていました。参院選勝利を経た7月には、(中図のように)これまで不支持が支持を上回っていた18~29歳、30代の若年層でも支持と不支持の付置関係が逆転し、全年代における「支持 > 不支持」というキャッチオール(catch-all)型に変化しました。
ところが、今月(右図)は、コア支持層であった中高年で支持率が大きく低落したことに加えて、若年層では不支持率が大幅に増大し、すべての年代で「支持 ≪ 不支持」という年代差のない構造に変化しました。〔図1〕内閣支持率・不支持率(年齢別)

■コロナ対策、旧統一教会問題、物価対策:すべてで否定的評価が多数に
〔表2〕対策・課題への評価(年齢別)

「新型コロナウィルス対策」、「旧統一教会問題への対応」、「物価対策」と、すべてに関して、「評価しない」の比率が「評価する」比率を大きく上回っています。わけても、統一教会問題と物価対策については、否定的な評価が大多数を占めており、「評価する」はわずか1割にすぎません。
年齢間の値にもほとんど相違は見受けられず、否定的評価は全年代共通の傾向となっています。残念ながら、どれをとってもプラスの要素が見当たらないという状況です。■安倍元首相国葬への賛・否に年代差
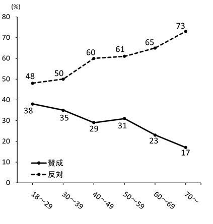
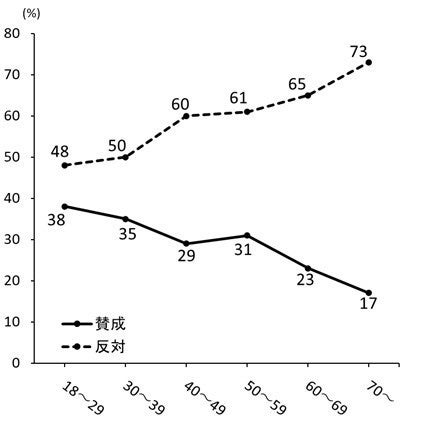
さて、9月27日には、7月の参院選期間中に銃撃されて死亡した安倍晋三元首相の国葬が行われます。国葬への賛否は、「賛成」が27%(8月=30%)、「反対」が62%(8月=53%)で、先月に比べ反対がさらに増加しました。
ただ、これまでみてきた内閣支持・不支持やアドホックな政治課題とは異なり、国葬に関する賛否の比率においては、年代間の相違が存在しています。〔図2〕をご覧ください。すべての年代で、反対が賛成を上回っているとはいえ、賛否の比率が拮抗する若年層に対して、反対が賛成を大きく上回る高年層という、対照的な構図を確認することができます。しかも、「賛成」は左型上がりの「若高-老低」型、「反対」は「若低-老高」型で、どちらも直線構造を示しています。
〔図2〕安倍元首相国葬への賛否(年齢別)

★本調査に関しては、https://ssrc.jp/blog_articles/2022091718.html でご覧ください。
【会社概要】
会社名:株式会社社会調査研究センター
代表取締役社長:松本 正生
設立:2020年4月1日
本社所在地:埼玉県さいたま市桜区下大久保255 埼玉大学内
TEL. 048-858-3751
ホームページ:https://ssrc.jp
事業内容:世論調査等各種調査の受託、世論調査研究のコンサルティングおよびコーディネートなど
このプレスリリースには、メディア関係者向けの情報があります
メディアユーザーログイン既に登録済みの方はこちら
メディアユーザー登録を行うと、企業担当者の連絡先や、イベント・記者会見の情報など様々な特記情報を閲覧できます。※内容はプレスリリースにより異なります。
すべての画像
