「マスク着用」「閣僚問題への評価」で年代差
~内閣支持27%・不支持59%、ともに横ばい~
社会調査研究センター(本社:さいたま市、代表取締役社長:松本正生)は、2022年11月19日(土)~20日(日)にかけ、NTTドコモと共同開発したインターネット調査「dサーベイ」による全国世論調査を実施しました。岸田内閣の支持率は前回の10月調査(26%)から横ばいの27%で、全世代で不支持率が支持率を上回る状況が続いています。一方、マスク着用についての考え方や、閣僚のスキャンダルへの評価には、顕著な年代差が見られました。

世論調査の新たなスタンダード:「dサーベイ」
社会調査研究センター(SSRC)は、22年11月19日(土)~20日(日)にかけて全国世論調査を実施しました。調査の方法は、先月(10月)から、新しい「dサーベイ」方式を採用しています。回答者数は、3,069人でした。
社会調査研究センターとNTTドコモが共同開発した「dサーベイ」により、全国の18歳以上の約6,000万人を母集団とした、完全なランダムサンプリング(無作為抽出)調査が実施できるようになりました。
社会調査研究センターでは、すでに、21年衆院選や22年参院選をはじめ、各種の選挙で「dサーベイ」による情勢調査を実施し、その精度を立証し続けてきました。22年10月から、内閣支持率などを検出する世論調査も「dサーベイ」に切り替え、「SSRC全国世論調査」として定例実施しています。
<dサーベイの解説動画>https://www.youtube.com/watch?v=PjLIPto7v4w&t=20s
調査トピック
1. 岸田内閣支持率は横ばいの26%、「岸田首相、早く辞めてほしい」は37%
2. 新型コロナウイルス対策と旧統一教会問題が内閣支持・不支持の分かれ目
3. 今後の「マスク着用」と閣僚スキャンダルへの評価で顕著な年代差
■岸田内閣支持率26% vs 不支持率59%、「早く辞めてほしい」は37%
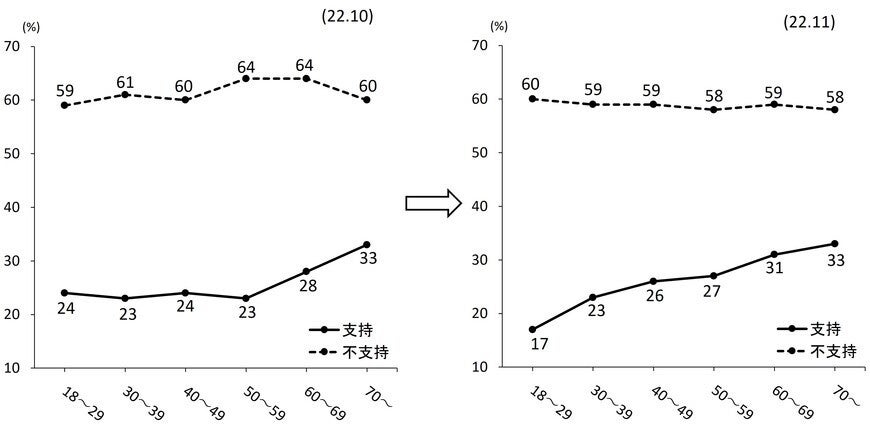
岸田内閣 : 支持率27% vs 不支持率59%「dサーベイ」による、2回目のSSRC全国世論調査での岸田内閣支持率は27%(10月=26%)、不支持率は59%(同62%)となりました。支持は1ポイント増、不支持が3ポイント減でしたが、不支持率が支持率を大きく上回る傾向に変化はありません。
【図1】をご覧ください。年齢別の内閣支持率・不支持率を示しています。支持に関して、18~29歳の最若年層の比率が下がったことで「若低-老高」型がやや顕著になったものの、不支持については全年代とも6割前後の多数を占めており、フラットな形状の「ロスト・オール」状況が続いています。
【図1】岸田内閣支持率・不支持率(年齢別)

因みに、今月の調査では、「岸田首相にいつまで首相を続けてほしいと思いますか」という質問を設定しました。回答結果は、「できるだけ長く続けてほしい」=13%、「再来年9月の自民党総裁任期まで」=29%、「早く辞めてほしい」=37%、「わからない」=19%となりました。このうち、相対的多数を占めた「早く辞めてほしい」回答を年齢にブレークダウンすると、年代間に大きな相違は存在しません。「のっぺらぼう不支持」と表現できるかもしれません。
支持政党別の内閣支持率に関しても、自民党支持者(全体で25%)でこそ60%を確保しているものの、支持政党なし層(同42%)での支持率は15%と、非常に厳しい評価が示されています。
■内閣支持・不支持を分けるもの
ここからは、内閣の支持・不支持と、時宜の諸課題とのクロス結果を確認してみましょう。【表1】は、「コロナウィルス対策」、「ワクチンの無料接種」、「マスク着用」、「旧統一協会対応」などへの評価を、内閣支持層と不支持層とに分けて集計したものです。表中、それぞれの課題に関する「評価する」・「評価しない」など、回答の下の( )内に表示した数値は全体での比率に相当します。
【表1】内閣支持・不支持の弁別要素

内閣を支持する、しないの分かれ目と重なり合うのは、やはり、岸田政権の新型コロナ対策や旧統一教会問題への対応であることがわかります。コロナ対策評価に関しては、支持層と不支持層とが明確に弁別されます。旧統一教会問題については、支持層でさえ「評価する」と「評価しない」の割合が拮抗していますが、不支持層での「評価しない」比率の高さをご確認ください。
一方、新型コロナウィルス関連のワクチン接種やマスク着用問題については、内閣支持-不支持との相関は見受けられません。支持であれ、不支持であれ、「ワクチンの無料接種を続けるべきだ」と、「これからも(マスクの)着用を続けたい」が多数を占めています。
■「マスク着用」と閣僚スキャンダルへの評価で顕著な年代差
ただ、マスクの着用をどうするかに関しては、顕著な年齢差が存在します。【図2】を参照してください。新型コロナ対策のマスク着用について聞いた結果を年齢別にプロットしています。全体の回答結果は、「これからも着用を続けたい」が62%、「そろそろ外す機会を増やしたい」が34%、「マスクはしていない」が1%でした。
【図2】マスクの着用について(年齢別)

「着用を続けたい」比率は右肩上がりの「若低-老高」型、「外す機会を増やしたい」は右肩下がりの「若高-老低」型と対照的な形状になりました。「着用を続けたい」と「外したい」が拮抗する18~29歳の最若年層と、「着用を続けたい」が圧倒的多数を占める高齢層、対立する態度の位相はやや気にかかるところです。
年齢差といえば、10月調査の結果解説でもふれましたが、政治的イシュ-、すなわち政治家のスキャンダルへの反応を取り上げざるを得ません。先月の山際大志郎経済再生担当相に続いて、今月も葉梨康弘法務大臣が失言の責任をとって辞任しました。【図3】中の実線(-)は、「葉梨前法相の辞任は当然だ」とする比率の年齢別の形状です。参考までに、10月調査での「山際大臣は辞任すべきだ」(注:山際大臣は、10月調査=22~23日実施の直後の24日に辞任しました)の比率も加えました。図中の点線(…)をご確認ください。
【図3】閣僚の責任問題に関する評価(年齢別)

「内閣不支持率」における年齢を越えた共通傾向、「閣僚の負のパフォーマンス」に関する顕著な年齢差。政治や社会の事象も同じに見えたり違って見えたり、気に留めたりスルーしたりと、個人差の存在ゆえでしょう。世論調査の役割と使命が示唆されます。
★本調査の「質問と回答」は、https://ssrc.jp/blog_articles/2022111920.html でご覧ください。
【会社概要】
会社名:株式会社社会調査研究センター
代表取締役社⻑:松本 正⽣
設⽴:2020年4⽉1⽇
本社所在地:埼⽟県さいたま市桜区下⼤久保255 埼⽟⼤学内
TEL. 048-858-3751
ホームページ:https://ssrc.jp/
事業内容:世論調査等各種調査の受託、世論調査研究のコンサルティングおよびコーディネートなど
このプレスリリースには、メディア関係者向けの情報があります
メディアユーザーログイン既に登録済みの方はこちら
メディアユーザー登録を行うと、企業担当者の連絡先や、イベント・記者会見の情報など様々な特記情報を閲覧できます。※内容はプレスリリースにより異なります。
すべての画像
- 種類
- 調査レポート
- ビジネスカテゴリ
- 政治・官公庁・地方自治体マーケティング・リサーチ
- 関連リンク
- https://ssrc.jp/
- ダウンロード
