睡眠時無呼吸症候群の評価における在宅用睡眠時脳波測定の有効性を確認
概要
閉塞性睡眠時無呼吸症候群(OSA)は、世界で10億人以上と推計されています。日本でも中等症以上の患者だけで900万人以上が罹患していると推定されていますが、睡眠障害の診断に使われる終夜睡眠ポリグラフ(PSG)は年間わずか8万件しか行われていません。なお、PSG検査は医療施設等への入院を必要とするため多大な費用や時間を要し、睡眠時呼吸検知装置による簡易検査は在宅で実施できるものの睡眠脳波が得られないため再度のPSG検査を要するケースが多く、患者の負担を軽減する新たな検査が求められています。
そこで今回は、在宅等での遠隔医療で実施可能な睡眠時脳波測定のOSA患者に対する有効性を、患者77人を対象としたPSG検査との同時計測によって評価しました。
その結果、それぞれの検査から算出した11種類の定量的睡眠指標(総睡眠時間、各睡眠ステージの割合、覚醒反応指数、呼吸イベント指数もしくは無呼吸低呼吸指数等)すべてに高い同等性が確認され、在宅用睡眠時脳波測定で得られた覚醒反応指数によって睡眠時無呼吸症候群患者が高い精度でスクリーニングできることも確認されました。
本研究により、健常者と睡眠状態が異なるOSA患者に対しても在宅用睡眠時脳波測定が有効であることが明らかとなり、遠隔医療による診断や経過観察等によって睡眠障害患者の負担を大幅に軽減できる期待が高まりました。
研究代表者
株式会社S’UIMIN
樋江井 哲郎 取締役
筑波大学 国際統合睡眠医科学研究機構
柳沢 正史 教授
社会医療法人春回会 井上病院
吉嶺 裕之 院長

背景
閉塞性睡眠時無呼吸症候群(OSA)は、潜在的な患者を含めると世界で10億人以上、日本でも中等症以上の患者だけで900万人以上が罹患していると推定される睡眠障害です。OSAは睡眠検査の標準法である終夜睡眠ポリグラフ(PSG)検査注1)で診断できますが、①原則的に入院検査が必要とされるため患者の負担が大きい、②実施できる医療機関が限られる、③日常環境での睡眠状態を検査できないーーなどの問題がありました。
この課題を解決するため、筑波大学発スタートアップ企業である株式会社S’UIMINは、自宅で簡単に睡眠時脳波を計測できるInSomnograf(インソムノグラフ)を開発しました(図1)。インソムノグラフはこれまでに、健常者の睡眠をPSG検査と同等の精度で測定できることが明らかになっていますが、健常者とは睡眠状態が異なるOSA患者を対象とした検査としての同等性は検証できていませんでした。
今回、社会医療法人春回会 井上病院でデータ収集を行い、筑波大学 国際統合睡眠医科学研究機構とデータ解析を協力する形で睡眠時脳波測定のOSA患者に対する有効性を、PSG検査との同時計測によって評価する研究を行いました。
研究内容と成果
本研究は、20歳以上の成人で、かつ、事前の簡易検査で無呼吸低呼吸指数(AHI)もしくは3%酸素飽和度低下指数(3%ODI)注2)が5以上の77人を対象としました。参加者は井上病院にてインソムノグラフとPSG検査の機器を同時に装着して1晩の睡眠測定を実施しました。
各機器で取得したデータからそれぞれ、11種類の定量的睡眠指標(総睡眠時間、各睡眠ステージの割合、覚醒反応指数、呼吸イベント指数もしくは無呼吸低呼吸指数等)注3)を算出し、同等性を検証した結果、すべての指標においてBland–Altman分析で95%以上の一致が認められ、級内相関係数は0.761から0.982の範囲にありました。なお、このうちの呼吸関連指数は、在宅睡眠時脳波測定と経皮的動脈血酸素飽和度(SpO2)測定を組み合わせて得られた呼吸イベント指数(REI)を、PSG検査で得られたAHIと比較し、0.899の級内相関係数が得られました(図1)。
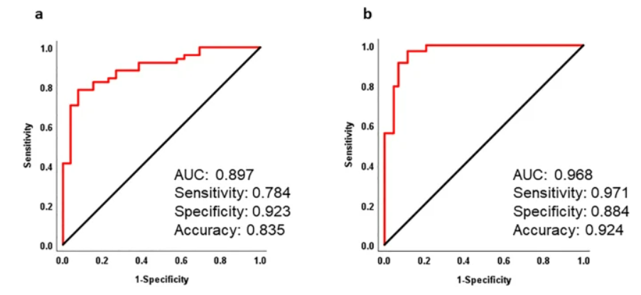
また、インソムノグラフで得られた覚醒反応指数によるOSA患者のスクリーニングの精度をROC分析注4)で検証した結果、覚醒反応指数25以上を閾値とすることでAHI15以上の重症患者が0.784の感度と0.923の特異度で、覚醒反応指数32以上を閾値とすることでAHI30以上の重症患者が0.971の感度と0.884の特異度で検出されました(図2)。
さらに、77人の睡眠を30秒ごとの区間で睡眠ステージを判定した結果の比較では、N1およびN3の一致率が低くなる傾向にあったものの、覚醒、N2およびREMで高い一致率が確認されました。また、脳波データにパルスオキシメータ(血中酸素飽和度と脈拍)のデータを加えることで、インソムノグラフによる睡眠ステージ判定精度が高まることが確認されました。
まとめ
本研究により、在宅睡眠時脳波測定はOSA患者に対してもPSGと同等レベルの睡眠評価が可能であることや、OSA患者に対する十分な精度を有していることが明らかになりました。また、呼吸フローや血中酸素飽和度、脈拍などの測定機器との適切な組み合わせにより、在宅等での遠隔医療でも患者の負担を大幅に軽減しながらPSG検査と同等レベルでOSAの診断や経過観察できる期待が高まりました。
【参考図】

図1 インソムノグラフとSpO2デバイスより得られた呼吸イベント指数(REI)と、PSG検査によって得られた無呼吸低呼吸指数(AHI)のBland-Altman分析(a)と級内相関係数(b)注5)の分析結果。両者間の高い同等性が確認された。

図2 インソムノグラフで得られた覚醒反応指数によるOSA患者のスクリーニング精度の検証結果。覚醒反応指数25以上でAHI15以上のOSA患者(a)が、覚醒反応指数32以上でAHI30以上のOSA患者(b)が、それぞれ高い精度で検出されている。
用語解説
注1) 終夜睡眠ポリグラフ(PSG)検査
睡眠時の脳波、呼吸、脚の運動、あごの運動、眼球運動、心電図、酸素飽和度、胸壁の運動、腹壁の運動などを記録する検査。睡眠関連疾患の診断のために、専門の施設に入院して行われることが多い。
注2) 3%酸素飽和度低下指数(3%ODI)
睡眠中に血中の酸素飽和度が3%以上低下するイベントの発生回数を1時間あたりで計測した指標。この指数は睡眠時無呼吸症候群(SAS)などの呼吸関連睡眠障害の診断や重症度評価に使用され、酸素飽和度の低下頻度が高いほど、呼吸障害の可能性や重症度が高いことを示す。
注3) 脳波測定による定量的睡眠指標
睡眠時脳波測定により、以下のような睡眠指標を定量化することができる。
- 総睡眠時間:入眠から翌朝の最後の覚醒までの時間のうち中途覚醒を除いた時間
- 睡眠効率:総記録時間に対する総睡眠時間が占める割合(%)
- 睡眠潜時:消灯から入眠までの時間
- N1%:総睡眠時間に対するノンレム睡眠第一段階が占める割合
- N2%:総睡眠時間に対するノンレム睡眠第二段階が占める割合
- N3%:総睡眠時間に対するノンレム睡眠第三段階(最も深い段階)が占める割合
- REM%:総睡眠時間に対するレム睡眠が占める割合
- 入眠後覚醒:睡眠の途中で目が覚めていた時間の合計
- 覚醒反応指数:1時間あたりの覚醒反応の回数(睡眠の安定度の目安のひとつ)
- 睡眠ステージ遷移:1時間あたりの睡眠段階が変わった回数(睡眠の安定度の目安のひとつ)
- 呼吸イベント指数もしくは無呼吸低呼吸指数:1時間あたりに発生した無呼吸や低呼吸の発生回数。本研究では在宅睡眠時脳波測定と経皮的動脈血酸素飽和度(SpO2)測定を組み合わせて得られた呼吸イベント指数を、PSG検査で得られた無呼吸低呼吸指数と比較した。
注4) ROC分析
スクリーニング検査等の精度の評価や従来の検査と新しい検査の比較に用いられ、異なる閾値での感度(病気を正しく識別する確率)と特異度(健康を正しく識別する確率)を計算し、その性能をグラフで示す。感度と特異度のバランスが良いほど、スクリーニング性能が高いことを示す。
注5) Bland-Altman分析と級内相関係数
Bland-Altman分析と級内相関係数は測定方法間の一致性や信頼性を評価する二つの異なる統計手法。Bland-Altman分析では、異なる測定法から得たデータの平均差と許容差範囲を算出し、データがこの許容差範囲内に収まる場合、二つの測定法が実用的に一致していると評価する。級内相関係数は、異なる評価者間や同一評価者の再測定における一致性を定量的に評価する手法。
補足
【研究資金等】
本研究は、筑波大学の世界トップレベル研究拠点プログラム(WPI)、文部科学省(MEXT)、AMED(JP21zf0127005)の支援を受け、株式会社S’UIMINの自己資金で実施しました。また本研究は、筑波大学と株式会社S’UIMINの共同研究契約および株式会社S’UIMINと井上病院の共同研究契約に基づいて行われました。なお、研究代表者の筑波大学 国際統合睡眠医科学研究機構 柳沢正史教授は、株式会社S’UIMINの代表取締役社長を兼業しています。
【掲載論文】
題 名:Validation of sleep-staging accuracy for an in-home sleep electroencephalography device compared with simultaneous polysomnography in patients with obstructive sleep apnea
(睡眠時無呼吸症候群患者における睡眠ポリグラフ検査と比較した在宅用睡眠時脳波測定の睡眠ステージング精度の検証)
著者名:Jaehoon Seol, Shigeru Chiba, Fusae Kawana, Saki Tsumoto, Minori Masaki, Morie Tominaga, Takashi Amemiya, Akihiro Tani, Tetsuro Hiei, Hiroyuki Yoshimine, Hideaki Kondo, Masashi Yanagisawa
掲載誌:Scientific Reports
掲載日:2023年2月12日
このプレスリリースには、メディア関係者向けの情報があります
メディアユーザー登録を行うと、企業担当者の連絡先や、イベント・記者会見の情報など様々な特記情報を閲覧できます。※内容はプレスリリースにより異なります。
すべての画像
