岸田内閣支持17%、「代わる人のいない」真空状態が続く
~2024年6月dサーベイ全国世論調査~

<調査トピック>
1.岸田内閣:支持利率17% vs 不支持率71%
2.「(首相になってほしい人が)いない」が35%
3.内閣支持・不支持と相関するもの
4.「選択的夫婦別姓制度の導入」:賛成47%、反対15%
5.次期衆院選の投票意向:自民と立憲民主の対決か
■岸田内閣:支持利率17% vs 不支持率71%
今回のSSRC全国世論調査における岸田内閣支持率は17%(3月=16%)、不支持率は71%(同73%)で、ともに横ばいでした。不支持が支持を大きく上回る傾向に変化はありません。2割未満という危機的な超低支持率にもかかわらず、ニュースとして世間に注目されることもなくなりつつあるように思われます。
〔図1〕をご覧ください。年齢別の内閣支持率・不支持率を示しています。支持・不支持双方ともフラットな形状で、とりわけ、不支持に関しては全年代で6割以上の大多数を占めており、「ロスト・オール」状況が続いています。
〔図1〕岸田内閣支持率・不支持率(年齢別)

支持政党別の内閣支持率に関しても、自民党支持層(全体で18%)でこそ60%を確保しているものの、多数派の支持政党なし層(同52%)での支持率は6%と、きわめて厳しい評価が示されています。〔表1〕
〔表1〕=岸田内閣支持率・不支持率(支持政党別)

■「(首相になってほしい人が)いない」が35%
さて、9月には自民党の総裁選挙が予定されています。今月の調査では、「岸田首相が総裁に再選されて首相を続けた方が良いと思いますか」という質問を設定しました。結果は、「続けた方がよい」がわずか8%にとどまり、「交代した方がよい」は63%で多数を占めました。ただし、「どちらとも言えない」という回答も27%で3割近くにのぼっています。
後掲の「日本の首相になってほしいと思う人」を選んでもらう質問においても、「いない」の比率が35%と相対的多数を占めました。
岸田首相のリーダーシップや内閣の取り組みに対する社会の評価はいずれも厳しいものの、だからといって、「代わりになる人もいない」、「他にだれがいるの?」という真空状況が、現政権を存続させているのかもしれません。
■内閣支持・不支持と相関するもの
ここからは、内閣の支持・不支持と、政治が直面する諸課題とのクロス結果を確認してみましょう。〔表2〕は、「企業・団体献金に関する議論」、「子育て支援をめぐる取り組み」、「選択的夫婦別姓制度の導入」などに関して、各課題に対する「賛成派(評価する・続けるべき)」、「反対派(評価しない・必要はない)」、「わからない(どちらとも言えない)」ごとに支持率・不支持率を算出したものです。表中、それぞれの課題に関する「評価する」・「評価しない」などの下の( )内に表示した数値は、全体における比率に相当します。
今回の国会における焦点であった政治資金問題のうち、持ち越しとなった「企業・団体献金献金の禁止」に関して、全体で64%の多数を占めた「議論を続けるべきだ」派では、内閣の不支持率が81%という高率を示しています。さらに、通常国会で成立した「(改正)子ども・子育て支援関連法」など岸田政権の子育て支援への取り組み実績を、「評価しない」(全体で56%)と否定する人たちにおける内閣不支持率は、91%に達しています。
一方、「選択的夫婦別姓制度」の導入問題に関しては、「賛成」派-「反対」派間の内閣評価に相違はほとんど見受けられません。
〔表2〕内閣支持・不支持の弁別要素

■「選択的夫婦別姓制度の導入」:賛成47%、反対15%
日本社会のアドホックな課題として「選択的夫婦別姓制度」の問題が存在します。SSRCでは、3月に引き続いて、制度導入への賛否を聞きました。6月調査の結果は、「賛成」が47%(3月=51%)、「反対」が15%(同15%)で、3月にくらべてやや減少したものの、「賛成」派が多数を占めました。ただ、「どちらとも言えない」という保留派も37%(同33%)と相応の割合にのぼっています。
〔図2〕は、年齢別の回答比率をまとめたものです。「賛成」派が全年代で多数を占めており、年齢間の値の相違もそれほど大きくはないフラットな形状が確認できます。「反対」派の比率も、すべての年代で2割を下回っています。しかしながら、「どちらとも言えない」の構図、とりわけ6月の形状に注目してください。30代と40代という比較的若い世代で「どちらとも言えない」が4割以上を占め、比率も「賛成」派と拮抗しています。この傾向をどのように読み取ればいいのでしょうか。
〔図2〕選択制夫婦別姓制度への賛・否(年齢別)

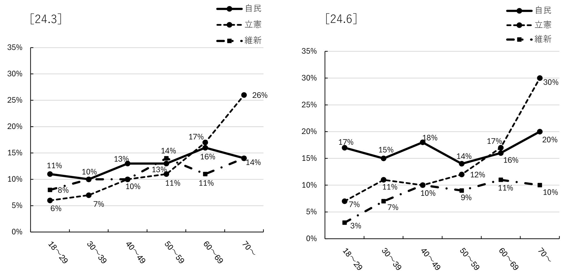
■次期衆院選の投票意向:自民と立憲民主の対決か
今回の国会中に解散・総選挙が行われることはありませんでしたが、9月の自民党総裁選後の今秋には衆院選が予想されています。
dサーベイ世論調査では、「今、衆議院選挙が行われたら、比例代表でどの政党に投票しますか」を聞いています。6月調査の結果は、自民党が17%(3月=13%)、立憲民主党が17%(同14%)、日本維新の会が9%(同12%)となりました。三つ巴状態だった3月に比べて、日本維新の会が減少し、自民党と立憲民主党が拮抗する構図に変わりました。
〔図3〕は、年齢別の投票意向を示しています。左図(3月)における18~29歳から50代までの3政党の団子状況が、右図(6月)では、日本維新の会の18~29歳、30代および50代での比率が低下することにより、政党間の値にやや差が生じています。トータルの形状からは、自民党対立憲民主党の構図が読み取れますが、果たして本番の総選挙時にはどのような状況が現出しているでしょうか。
〔図3〕次の衆院選の投票意向(年齢別)

■世論調査の新たなスタンダード:「dサーベイ」
今回の調査は、24年6月22日(土)午後5時からメールを配信し、全国で2043人から有効回答を得ました。
「dサーベイ」とは、NTTドコモのdポイントクラブ会員を対象とするWeb(インターネット)調査です。社会調査研究センターとNTTドコモが共同開発した「dサーベイ」により、全国の18歳以上の約6,800万人を母集団としたランダムサンプリング(無作為抽出)調査が実施できるようになりました。
社会調査研究センターでは、すでに、21年衆院選、22年参院選、23年統一地方選など、各種の選挙調査で蓄積したデータを解析し、地域・性・年代別の人口構成に合わせてメールを配信する「配信設計モデル」を構築しました。22年10月からは、内閣支持率などを検出する世論調査も「dサーベイ」に切り替え、「SSRC全国世論調査」として定例実施しています。
文責:松本正生(社会調査研究センター代表取締役社長)
<dサーベイの解説動画> https://www.youtube.com/watch?v=PjLIPto7v4w&t
★本調査の「質問と回答」は、https://ssrc.jp/research-post/d_survey_20240623/ でご覧ください。
【会社概要】
会社名:株式会社社会調査研究センター
代表取締役社⻑:松本 正⽣
設⽴:2020年4⽉1⽇
本社所在地:埼⽟県さいたま市桜区下⼤久保255 埼⽟⼤学内
TEL. 048-858-3751
ホームページ:https://ssrc.jp/
事業内容:世論調査等各種調査の受託、世論調査研究のコンサルティングおよびコーディネートなど
このプレスリリースには、メディア関係者向けの情報があります
メディアユーザー登録を行うと、企業担当者の連絡先や、イベント・記者会見の情報など様々な特記情報を閲覧できます。※内容はプレスリリースにより異なります。
すべての画像
