VIE、サウナにおける「ととのう」状態を音楽によって再現する研究論文を「Frontiers」で発表
実験に用いたととのうミュージックを脳チューニング音楽アプリ「VIE Tunes」で配信中
次世代型ウェアラブル脳波計の開発とニューロテクノロジーの社会実装を行うVIE株式会社は、サウナにおける「ととのう」状態を、脳に刺激を与える音楽によって再現することを試みた研究論文をFrontiersにて発表しました。
また、実験で使用された音楽「ととのうミュージック」は、配信から約1ヶ月で2万ダウンロードを達成した脳チューニング音楽アプリ「VIE Tunes」でも聴くことができます。

Frontiersとは
Frontiersとは、科学や技術、医学等の分野の研究成果を取り扱う、査読付きオープンアクセス科学ジャーナルです。主に科学と医学分野の一次研究論文を取り扱っており、インパクトファクターは2.9です。
研究の背景
昨今、メンタルヘルスに対する関心が高まっており、リラクゼーションや回復を助長する様々な研究が活発化しています。例えば、瞑想やサウナは私たちの心身に癒しや活力を与えてくれますが、より手軽な方法で、同等のリラクゼーション効果を得られるものはないかと考え、私たちは「音楽」に焦点を当てることにしました。音楽が人間の感情や認知に与える影響については、長い間研究がされてきており、音楽はリラクゼーションを促進させるだけでなく、脳活動の顕著な変化を誘発することも明らかになっています。
このような「音楽」の可能性に着目し、私たちは「脳科学で実証されたを刺激音を組み込んだ音楽を聴く」という革新的なアプローチにより、サウナ後に感じられる「ととのう」状態と同等のリラックス効果を再現することを試みました。
脳に刺激を与えるととのうミュージックによる実験結果
この実験では、特定の脳の領域に直接刺激を与えるモノラルビートを組み込んだ生成音楽(以下、本記事ではととのうミュージックという)、通常の音楽、無音の3つの状態を比較し、Figure1の手順で脳波の計測と主観評価尺度のアンケート、聴覚oddball課題(ターゲット刺激に対する反応時間を測定するもの)を行いました。このととのうミュージックは、アルファ波とシータ波を増幅させるように編成されています。

その結果、音楽を聴いた後の計測で、ととのうミュージックを聴いた場合のみ、MMNの振幅が大幅に増加しました(Figure2)。

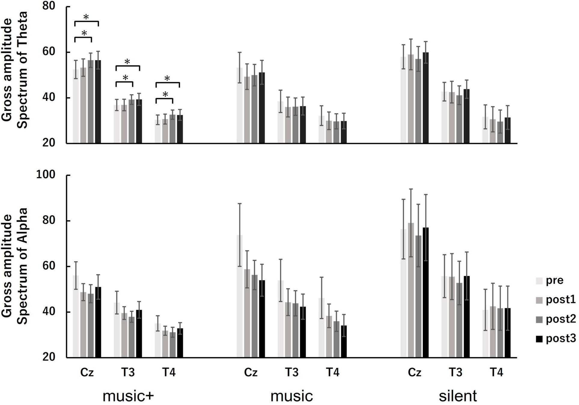
また、音楽を聴いている最中、前後の神経変化を測定したところ、シータ波に関して、ととのうミュージックを聴いた後に、大幅にシータ波パワーが増加することがわかりました(Figure3)。

さらに、音楽を聴く前後の参加者で行われた聴覚oddball課題において、ストレスレベルを評価するために、唾液アミラーゼ活性(SAA:salivary alpha-amylase activity)を測定した結果、ととのうミュージックの聴取後のみ、SAAの有意な減少が見られました(Figure4)。

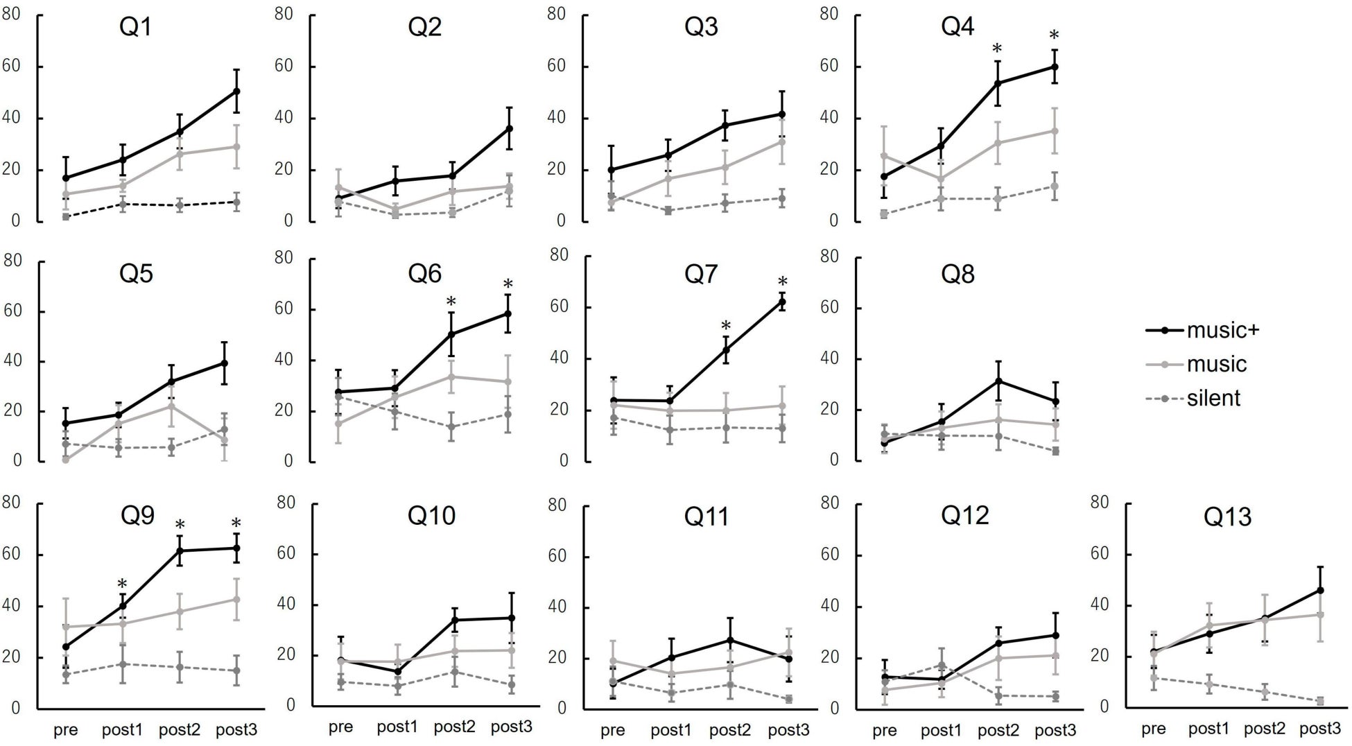
主観評価を図るアンケートでは、ととのうミュージックは主に「Q4. 浮遊感」「Q6. 孤立感(周囲との関係が絶たれていると感じる)」「Q7. 筋弛緩」「Q9. リラックス感」の4つの項目で有意な作用の差が見られました(Figure5)。

ととのうミュージックとサウナの相似性
この実験で注目したP300の振幅は、注意力と深く関連しており、注意力が高まるとP300も大きくなることが言われています。一方MMNは、聴覚刺激に対して主観的に注意しなくても誘発することが可能で、自動的な聴覚情報処理によって引き起こされます。つまり、P300の減少とMMNの増加は、より少ない注意力で、音の識別への反応度が高まっていることを意味しています。この結果は、サウナの「ととのう」状態でも同様に見られ、今回は参加者が少なかったため、P300の減少はサウナほど顕著に見られなかったものの、より少ない注意力でタスクを効率的に実行できていることを示しています。
またシータ波の大幅な増加も、サウナの実験と同様にみられ、主観評価項目の「リラックス感」は、サウナよりととのうミュージックを聴いた時の方が、強くなることがわかりました。シータ波の強まりは、深いリラックス感の始まりを示唆しており、これは例えば瞑想をするにあたって深い静けさの状態に入るとシータ波が増加することがわかっています。さらに、シータ波の増加は意識や注意力の増加とも関連しています。
「ととのう」状態とは異なる部分は、アルファ波の減少が見られた点です。アルファ波は一般に睡眠状態に以降すると増加する傾向があると言われており、これは実験の参加者が目を瞑ったまま音楽を聴いたことによって起きた結果だと考えることができます。
この研究では、アルファ波の増加は見られなかったものの、シータ波とMMNの大幅な増加は、「ととのう」状態との一貫性が見られ、ととのうミュージックを聴くことで、概ね「ととのう」状態と同様の効果を再現することに成功しました。サウナや瞑想よりも、より手軽な方法でリラクゼーションを体験できるととのうミュージックの展開に、今後も力を入れていく予定です。
ととのうミュージックを「VIE Tunes」で体験
実験で使用されたととのうミュージックは、脳チューニング音楽アプリ「VIE Tunes」でニューロミュージックとして配信されており、ローンチから約1ヶ月で2万ダウンロードを達成しました。「集中」「リラックス」「熟睡」など、目的に合わせてなりたい状態を選択することで、適切なニューロミュージックがその状態へと導いてくれます。

・対応OS :iOS / Android(2月公開予定)
・価格 :初月無料 / 月額500円
共同研究パートナーを募集
VIE株式会社は、最先端技術であるニューロテクノロジーを掛け合わせ、新たな可能性を追求しています。研究企画から共同研究開発、サービス開発、事業実装まで、多岐にわたるフェーズやテーマでの共同研究を歓迎しておりますので気軽にお声がけください。
・お問い合わせ先:info@vie.style
VIE株式会社
VIEは、「Live Connected, Feel the Life.」をミッションに掲げ、ニューロテクノロジーとエンターテイメントで、感性に満ちた豊かな社会をつくることをサポートするプロダクトを創造することで、ウェルビーイングに貢献し、さらに、脳神経に関わる未来の医療ICT・デジタルセラピューティクスの発展にも寄与していきます。
このプレスリリースには、メディア関係者向けの情報があります
メディアユーザー登録を行うと、企業担当者の連絡先や、イベント・記者会見の情報など様々な特記情報を閲覧できます。※内容はプレスリリースにより異なります。
すべての画像
