VIE、ガンマ活動を誘発する新しい音響刺激「ガンマミュージック」を用いて不快感なく認知機能の調節を目指す研究論文を「Frontiers」で発表
実験に用いたガンマミュージックは脳チューンング音楽アプリ「VIE Tunes」でも配信中

次世代型ウェアラブル脳波計の開発とニューロテクノロジーの社会実装を行うVIE株式会社は、通常不快な音として認識される40Hz付近の刺激音を、心地の良い音楽「ガンマミュージック」に変えて、ASSR(聴覚定常状態反応)の誘発を試みる研究論文をFrontiersにて発表しました。また、実験で使用された音楽「ガンマミュージック」は、配信から約1ヶ月で2万ダウンロードを突破した脳チューニング音楽アプリ「VIE Tunes」で聴くことができます。
Frontiersとは
Frontiersとは、科学や技術、医学等の分野の研究成果を取り扱う、査読付きオープンアクセス科学ジャーナルです。主に科学と医学分野の一次研究論文を取り扱っており、採択されたFrontiers in Human Neuroscienceのインパクトファクターは2.9です。
研究の背景
30Hzを超える周波数帯域は、ガンマ周波数帯域と呼ばれており、様々な認知機能、感覚統合、短期記憶などと関連しています。また40Hzの聴覚刺激によって誘発されるASSR(聴覚定常状態反応)は、ヒトの認知機能の程度を評価するバイオマーカーとしての可能性を秘めていると言われています。
しかし、その一方で一般にヒトは40Hzの単調な聴覚刺激を、不快な音として知覚します。これを改善するため、40Hzの刺激と音楽を統合する方法が提案されましたが、ざらざらとした不快な音として認識されることの多いこの刺激音を、快適な聴き心地を維持しながら音楽に組み込むことは、とても困難でした。
そこで私たちは、ドラムのような音色を40Hzの振動から合成し、ベースやキーボードの音の振幅エンベロープをガンマ周波数帯域に修正して、ガンマドラム、ガンマベース、ガンマキーボードと呼ばれるガンマ楽器を作成しました。そして、そのガンマ楽器で作る「ガンマミュージック」を生成することで、その有効性を評価しました。コントロール条件としては、ドラム、ベース、キーボード音からなる、40Hz付近の周波数帯域に強いパワーを含まない音楽刺激(通常音楽:Control music)と、不快な音を伴う従来のガンマ刺激を、対象音楽にそのまま組み込んだ音楽(従来法ガンマ音楽:Conv. Gamma)を用意しました。
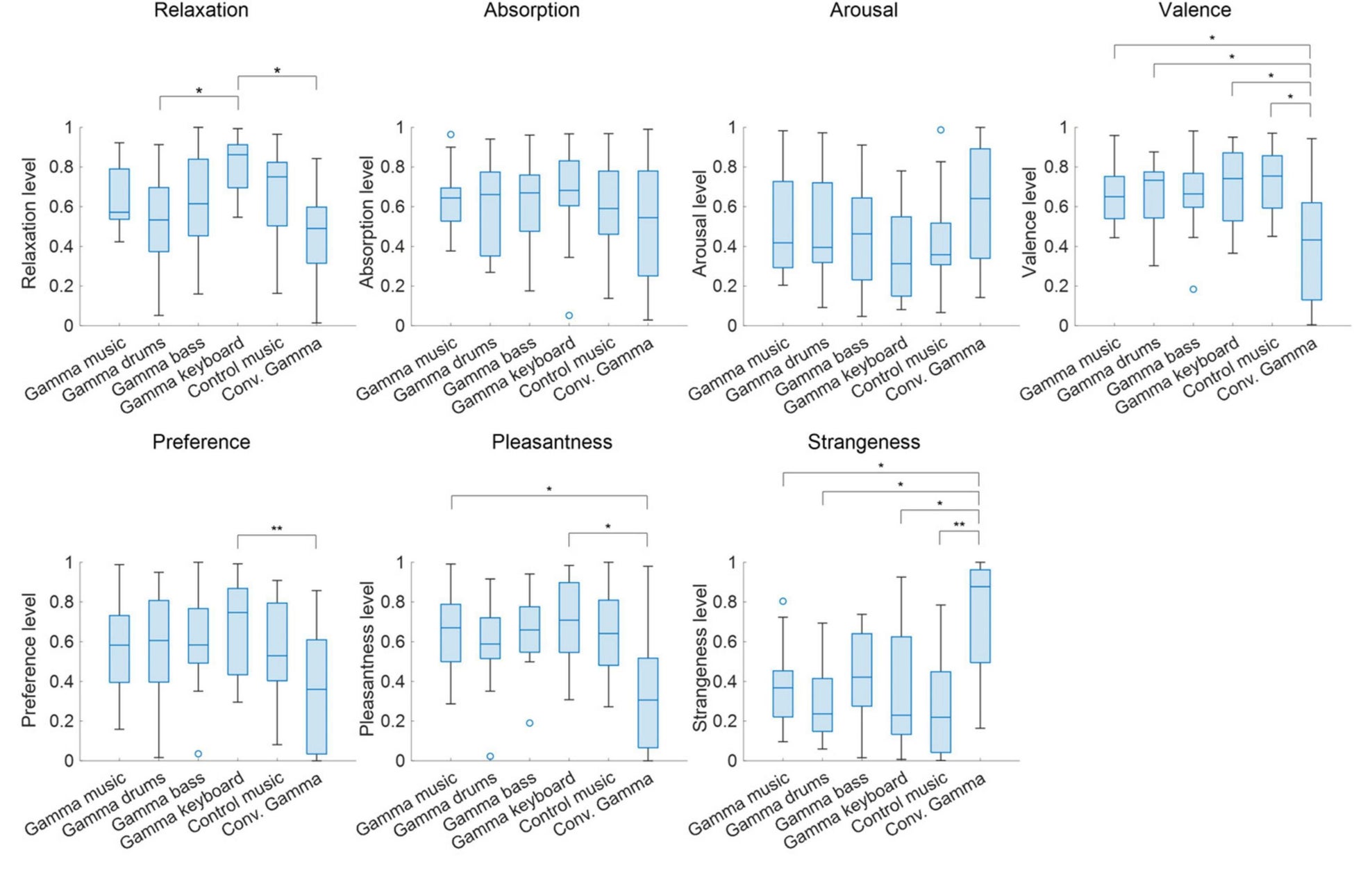
6つの音刺激をASSR誘発の有効性と主観評価で比較した結果
この実験では、6つの刺激(ガンマミュージック、ガンマドラム、ガンマベース、ガンマキーボード、通常音楽、従来法ガンマ音楽)を参加者へ提示し、参加者は目の前のモニターに映る点を見つめてリラックスした状態で音楽を聴きました。そして各音楽の聴取後、参加者はその状態でのリラックスレベルや覚醒レベルを評価し、いくつかの主観評価を図るアンケートに回答しました(Table1)。

主観評価を図るアンケートの結果は、【Figure1】の通りです。リラクゼーション、感情価、好み、心地よさ、奇妙さの項目において有意な差が見られ、没頭、覚醒においては有意な差は見られませんでした。ガンマミュージックや通常音楽と比較して、従来法ガンマ音楽は不快感や好ましくないことを示す有意な差が明らかになった一方で、ガンマキーボードは最も好まれており、ガンマドラムや従来法ガンマ音楽と比較してリラックスにより強く関連し、快適で心地の良い自然な印象を参加者に与えたことが示されました。

【Figure2,3】の(A)は額と前頭葉から中央部にかけての各周波数のパワー及びPLI(Phase Locking Index)の総加算平均値です。PLIとは、神経科学の分野で使われる統計的手法の一つで、脳波(EEG)データや他の生理学的信号の試行間の位相同期を測定するための指標です。この研究では、ガンマミュージックがどの程度、脳内の40 Hzの振動成分を安定して誘発させているかの指標として使用されています。その結果、40Hzのパワー及びPLIで、額と前頭葉から中央部にかけての両方で明らかなピークが観察され、40Hzの成分がASSRを引き起こしていることが明らかになりました。
【Figure2,3】の(B)は額と前頭葉から中央部における各音刺激の40Hzのパワー及びPLIのボックスチャートです。通常音楽を除く5つの音刺激は、40Hzのパワー及びPLIで通常音楽と比較して大幅に高い値を示し、特にガンマキーボードは一番高い値を示し、ASSRを強く引き起こす可能性があることが示されました。


【Figure2,3】で示したように、ガンマミュージック、ガンマドラム、ガンマベース、ガンマキーボード、従来法音楽はASSRを誘発することが明らかになりましたが、従来法音楽は同じくASSRを誘発する他の4つの刺激音と比較して、参加者の「好ましくない」「不快な」「奇妙な」感情を引き起こしました。これは通常の音楽に40Hzの刺激をのせるだけでは、聴いている人に不快感を与えてしまうことを示しています。
一方でガンマミュージックの評価は従来法ガンマ音楽とは対照的で、特にガンマキーボードは「リラックス」「心地よさ」「好み」「自然さ」の項目で最も高い評価が得られました。これらの結果は、ガンマミュージックやガンマキーボードが、音楽を聴くときの快適で心地よい感覚を維持しながら、強力なASSRを誘発することを示唆しています。そしてガンマミュージックにより、以前の「ASSRを誘発する刺激音を聴くと被験者は不快感を覚え、長時間の刺激の提示が困難である」という問題を解決に導き、ASSR及び臨床におけるガンマ刺激介入の有用性が広がる可能性があることを秘めています。
ガンマミュージックの詳しい生成方法やガンマキーボードが最も大きなパワー及びPLIを示した結果の考察等については、本論文をご参照ください。
ガンマニューロミュージックを「VIE Tunes」で体験
実験で使用されたガンマニューロミュージックは、iOSアプリ「VIE Tunes」として配信されており、ローンチから約1ヶ月で2万ダウンロードを達成しました。「集中」「リラックス」「熟睡」など、目的に合わせてなりたい状態を選択することで、適切なニューロミュージックがその状態へと導いてくれます。

・対応OS :iOS / Android(2月公開予定)
・価格 :初月無料 / 月額500円
共同研究パートナーを募集
VIE株式会社は、最先端技術であるニューロテクノロジーを掛け合わせ、新たな可能性を追求しています。研究企画から共同研究開発、サービス開発、事業実装まで、多岐にわたるフェーズやテーマでの共同研究を歓迎しておりますので気軽にお声がけください。
VIE株式会社
VIEは、「Live Connected, Feel the Life.」をミッションに掲げ、ニューロテクノロジーとエンターテイメントで、感性に満ちた豊かな社会をつくることをサポートするプロダクトを創造することで、ウェルビーイングに貢献し、さらに、脳神経に関わる未来の医療ICT・デジタルセラピューティクスの発展にも寄与していきます。
このプレスリリースには、メディア関係者向けの情報があります
メディアユーザー登録を行うと、企業担当者の連絡先や、イベント・記者会見の情報など様々な特記情報を閲覧できます。※内容はプレスリリースにより異なります。
すべての画像
- 種類
- 調査レポート
- ビジネスカテゴリ
- 音楽スマートフォンアプリ
- ダウンロード
