不動産テックTRUSTART、登記データから「晴海フラッグ」の所有実態を分析
即日転売61件、法人保有2割が示す都心不動産の“裏側”

AI×不動産ビッグデータで不動産関連業務のDX化を伴走支援するプラットフォーム「R.E.DATA (リデータ)」を開発・提供するTRUSTART株式会社(本社:東京都港区、代表取締役:大江洋治郎、読み:トラスタート、以下「TRUSTART」)は、『登記データから読み解く「晴海フラッグ」の全容』と題した不動産ビッグデータ分析レポートを公開しました。
本レポートでは、東京オリンピック・パラリンピックの選手村を改修して建設された大規模マンション「晴海フラッグ」(東京都中央区)の所有実態を、登記データに基づいて調査した結果をご紹介しています。
「晴海フラッグ」の売買動向Topics
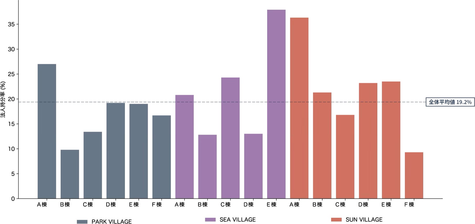
1. 最大29戸も保有する法人が存在。法人所有の「集中度」を可視化


複数の住戸を所有する所有者のうち、最大で29戸を保有する法人が確認されました。調査対象全体の19.2%を法人が保有しており、一部の棟では30%以上を法人が占めていることがわかりました。
2. 1回以上売買されたのは427戸。所有権保存登記と同日の即日転売と見られるケースも

登記データから、これまでに1回以上売買が発生している戸数は427戸(調査対象の約15.9%)に上ることが判明しました。最多で4回の売買が発生している部屋も確認されています。特に注目すべきは、所有権保存登記と同日に売買が行われている「即時の転売」と見られるケースが61件確認された点です。これは、登記が完了した直後から活発な転売が行われていた事実を裏付けるデータと言えます。
※所有権保存登記とは、新築した建物などまだ所有権の登記がない不動産に対して、その所有者が誰であるかを公示する最初の登記のこと
3. 所有戸数の4.1%(111戸)が「海外住所」の所有者

所有者の住所を調査した結果、海外住所の所有者が含まれる戸数は111戸(調査対象の4.1%)でした。この事実は、晴海フラッグが国内の居住者や投資家だけでなく、海外に拠点を置く人々からも投資対象として注目を集めていることがわかります。
※このデータは国籍ではなく住所に基づいた判定となります。国籍が日本であっても、登記上の住所が海外であればこの111戸に含まれます。反対に、国籍が外国であっても登記上の住所が日本国内であれば含まれません。
まとめ
今回の「晴海フラッグ」の登記データ分析により、不動産売買の「真の実態」が明らかになりました。法人保有の集中度は、投資対象としての需要の高さを示唆し、将来的な市場影響を予測する上で極めて重要です。特に、所有権保存登記と同日の即時転売や最多4回の売買履歴は、市場の流動性の高さと短期的な投機的取引を裏付けるデータと言えます。
不動産業界は、日本の基幹産業でありながら、長年にわたり情報の分断という深刻な課題を抱えています。各種データが役所、法務局、現地調査など複数のアナログな場所とデジタルに散在し、統合的な活用プラットフォームがないことが、DX化の遅れと属人化を招き、生産性向上を阻む根本的な原因です。当社は、この課題を解決するため、「不動産関連情報を取り扱う全業界のデータハブ」となることを目指します。登記データという確かな一次情報を基盤に、散在する不動産関連情報を統合・解析することで、業界全体の生産性向上に貢献してまいります。
◾️本調査結果を使用される際のお願い
-
本調査結果を使用される際は、【TRUSTART株式会社調べ】とご記載ください。
-
ご使用の場合は、元のデータや画像を改変しないようお願いいたします。
-
本資料の内容は登記データ取得時点の情報に基づいており、その後に発生した取引や権利移動は現況と相違する可能性があります。
◾️本資料の登記データの集計対象
-
晴海フラッグの「SEA VILLAGE」「SUN VILLAGE」「PARK VILLAGE」から、タワー棟 「SKY DUO」 (1,455戸) を除いた2,690戸のうち、登記を取得できなかった4戸を除く2,686戸。
-
登記データ取得日:2025年7月
本レポートは以下のリンク先から無料でダウンロード可能ですので、ぜひご活用ください。
さらに、オーナーデータや抵当権者(金融機関)の詳細データを収録した「特別版」(有料)もご用意しております。ご関心をお持ちの方は、こちらからお問い合わせください。
<クラウド型の不動産ビッグデータプラットフォーム「R.E.DATA Plus」について>
日本全国から多種多様な不動産ビッグデータを日々タイムリーに収集し、新規見込客へのダイレクトアプローチや法人・個人のプロファイリング、日常業務の効率化を可能にする「R.E.DATA Plus」をご提供しております。
「R.E.DATA Plus」は、インターネット上に存在しない役所や現地のみに存在するアナログな不動産情報を中心にビッグデータを形成しており、全国の「相続」「売買」などの不動産の異動登記情報や「アパート」「マンション」「ビル」「工場」「倉庫」「太陽光パネル」などのアセットタイプを、ユーザー自らが自由に選択して閲覧することができ、さらに「用途地域」、「土地面積」、「最寄りの公示価格」などで抽出条件を設定することも可能な不動産ビッグデータ閲覧サービスです。不動産・金融・インフラ・士業など、多種多様な業界にご活用いただいております。
<TRUSTART株式会社概要>
会社名 : TRUSTART株式会社
代表者 : 代表取締役 大江 洋治郎
事業内容: 不動産ビッグデータ提供事業、不動産調査事業
本社: 東京都港区南青山1-1-1 新青山ビル西館7階
設立: 2020年5月
URL :https://www.trustart.co.jp/
お問い合わせ : https://www.trustart.co.jp/conta
このプレスリリースには、メディア関係者向けの情報があります
メディアユーザー登録を行うと、企業担当者の連絡先や、イベント・記者会見の情報など様々な特記情報を閲覧できます。※内容はプレスリリースにより異なります。
すべての画像
