エクシングとVIE、JOYSOUNDで配信中の「ガンマ波カラオケ」実証実験で歌唱中に最も高いガンマ波の誘発を確認
高齢化社会に寄り添う、楽しみながらできる脳活サポート

次世代型ウェアラブル脳波計とニューロテクノロジーの社会実装に取り組むVIE株式会社(本社:神奈川県鎌倉市大町、代表取締役:今村 泰彦)は、株式会社エクシング(本社:名古屋市瑞穂区、代表取締役社長:水谷 靖)と共同で、視覚・聴覚などの感覚情報の統合、注意・ワーキングメモリ、そして意識的知覚の成立に深く関与する高周波脳波である「ガンマ波」をカラオケに融合した新しい試み「ガンマ波カラオケ(※商標・特許出願中)」を開発し、実証実験を実施しました。
その結果、通常のカラオケ曲やガンマ波音楽の視聴よりも、「ガンマ波カラオケ」の歌唱中に最も高いガンマ波が誘発されることが確認されました。

■ガンマ波とは
ガンマ波(約 30 〜 80 Hz、特に 40 Hz 前後が代表的)は、記憶の想起や思考に加え、感覚情報の統合、注意の集中、意識的知覚など――脳が高度な情報処理を行う場面で顕著に現れる高周波リズムです。
たとえば、マウスの認知機能を改善した実験(※1,2)、また人を対象にした臨床試験において、認知機能の低下や脳萎縮の抑制効果が示唆されています(※3)。
-
(※1) Martorell, Anthony J., et al. "Multi-sensory gamma stimulation ameliorates Alzheimer’s-associated pathology and improves cognition." Cell 177.2 (2019): 256-271.
-
(※2) Iaccarino, Hunter F., et al. "Gamma frequency entrainment attenuates amyloid load and modifies microglia." Nature 540.7632 (2016): 230-235.
-
(※3) Chan, Diane, et al. "Gamma frequency sensory stimulation in mild probable Alzheimer’s dementia patients: Results of feasibility and pilot studies." PloS one 17.12 (2022): e0278412.
■実証実験の概要
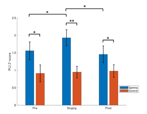
実証実験では、19名の被験者を対象に、ガンマ波を含む特別なカラオケ曲(Gamma条件)と通常のカラオケ曲(Control条件)の2つの条件で、脳波の変化を比較しました。各条件について、(1) 歌唱前に楽曲を視聴する、(2) 実際に楽曲を歌唱する、(3) 歌唱後に再び楽曲を視聴する、という3つのタイミングで脳波を測定しました。

■実証実験の結果
通常のカラオケと比較して、「ガンマ波カラオケ」の視聴中および歌唱中のいずれにおいても、ガンマ波が有意に高まり、特に歌唱中に最も高いガンマ波活動が確認されました。一方で、通常のカラオケ曲ではガンマ波の顕著な変調は観察されませんでした。

■考察
以上の結果により、ガンマ波刺激と、歌唱による神経可塑性の促進効果や認知能力向上効果(*4)を組み合わせることで、ガンマ波の誘発により高い影響を与える可能性が示唆されます。
(*4)Olszewska, Alicja M., et al. "How musical training shapes the adult brain: Predispositions and neuroplasticity." Frontiers in Neuroscience 15 (2021): 630829.
VIE株式会社は、誰もが楽しく取り組める「ガンマ波カラオケ」の普及を通じて、現代の高齢化社会における健康課題に寄り添い、音楽と脳科学が融合する新しいエンターテインメントの形を提案してまいります。
■VIEによる「ガンマ波」への取り組み
https://vie.style/blogs/magazine/gamma-music
■「ガンマ波カラオケ」 配信情報
◆対象機種
JOYSOUND X1、JOYSOUND MAX GO、JOYSOUND MAX2、JOYSOUND MAX、JOYSOUND 響Ⅱ、JOYSOUND 響、JOYSOUND FESTA、JOYSOUND FESTA2、健康王国DX、JOYSOUND WAGON2
※ただし、機種及び設置環境により対応していない場合がございます。
◆配信曲

|
曲名 |
アーティスト名 |
|
島人ぬ宝 |
BEGIN |
|
涙そうそう |
夏川りみ |
|
北の旅人 |
石原裕次郎 |
|
二輪草 |
川中美幸 |
|
舟唄 |
八代亜紀 |
|
珍島物語 |
天童よしみ |
|
千の風になって |
秋川雅史 |
|
氷雨 |
日野美歌 |
|
バス・ストップ |
平浩二 |
|
吾亦紅 |
すぎもとまさと |
|
あゝ人生に涙あり |
里見浩太朗/横内正 |
|
娘よ |
芦屋雁之助 |
|
星降る街角 |
敏いとうとハッピー&ブルー |
|
男の背中 |
増位山太志郎 |
|
ふりむかないで |
ハニー・ナイツ |
|
硝子坂 |
高田みづえ |
|
十九の春 |
田端義夫 |
|
孫 |
大泉逸郎 |
|
紅い花 |
ちあきなおみ |
|
明日の詩 |
杉良太郎 |
|
津軽海峡・冬景色 |
石川さゆり |
|
真夏の果実 |
サザンオールスターズ |
|
また逢う日まで |
尾崎紀世彦 |
|
白いブランコ |
ビリー・バンバン |
|
ひこうき雲 |
松任谷由実 |
|
早春賦 |
芹洋子 |
|
大きな古時計 |
唱歌 |
|
みかんの花咲く丘 |
川田正子 |
|
故郷(ふるさと) |
東京放送児童合唱団 |
|
想い出の渚 |
ザ・ワイルド・ワンズ |
VIE株式会社について
VIE株式会社は、「味わい深い人生を ~Live Connected,Feel the Life.~」をミッションに掲げ、ニューロテクノロジーとエンターテインメントの力を融合させ、感性豊かな社会の実現を目指しています。
これまで製薬会社や大学研究機関、企業との連携を通じ、ウェアラブル脳波計やニューロテクノロジーを活用したサービスの開発を推進してきました。特に日常生活で簡易にEEG(脳波)を測定できる技術を実現し、感性の可視化を支援する製品や技術を展開しています。さらにリアルタイムで取得した脳波データにアクセス可能なデスクトップ版脳波解析アプリ「VIE Streamer」を提供しており、研究開発部門や大学研究機関、病院などで広く利用されています。
2024年3月には、製薬会社や事業会社などからシリーズA1ラウンドで3.05億円を調達し、研究開発および事業開発のさらなる推進に取り組んでいます。今後も、ニューロテクノロジーの普及と、ウェルビーイングや医療分野への貢献を一層進めてまいります。

-
会社名:VIE株式会社
-
代表取締役:今村 泰彦
-
所在地:神奈川県鎌倉市大町1-9-22
-
製品情報:https://vie.style/
本件に関するお問合せ先
E-mail:info@vie.style
すべての画像
- 種類
- 商品サービス
- ビジネスカテゴリ
- フィットネス・ヘルスケア音楽
- ダウンロード
