株式会社 エス アンド エー アソシエーツ、広島国際大学と共同研究 入浴剤入浴の習慣化が親子の睡眠状態を改善し生活リズムの良好化に有用な可能性 -日本睡眠学会第47回定期学術集会にて報告-
株式会社バスクリン(本社:東京都千代田区 社長:三枚堂正悟)つくば研究所は、株式会社 エス アンド エー アソシエーツと広島国際大学健康科学部 田中秀樹教授の研究グループとの共同研究で、普段入浴剤を使わない親子が、無機塩を含む炭酸ガス入浴剤を使用した入浴を習慣化したところ、親子の睡眠状態が改善すること、母親の疲労回復感が高まることを確認しました。また、子どもの日中の様子にも好影響を及ぼすことを確認しました。今回の研究成果は、日本睡眠学会第47回定期学術集会(2022年6月30日~7月1日・京都開催)にて報告しました。
※1:浴用剤使用が親子の睡眠の質を上げ、QOLの向上寄与に有用な可能性~第44回日本睡眠学会定期学術集会にて発表~ 2019年
※2:入浴が保護者と幼児の生活習慣、QOL、子育て、しつけ、教育に有用な可能性~第78回日本公衆衛生学会総会にて発表~ 2019年
①母親の睡眠状態が有意に改善し、不眠症の疑いがある人の数は、試験前(12人)から2週間後(7人)、4週間後(3人)と減少が確認されました。
②母親の睡眠による疲労回復感に好影響を及ぼすことが示されました。
③子どもの睡眠状態や生活リズムに好影響を及ぼすことが示されました。
④子どもの日中の様子に好影響を及ぼすことが示されました。
母親の睡眠状態について、試験前と2週間後、4週間後にアテネ不眠尺度※3を使用した自己評価を行いました。また、母親の睡眠の満足感については、4つの項目について、母親自身が毎日点数化することにより評価を行いました。子どもの睡眠状態や日中の様子は、母親が評価項目に沿って毎日点数化することにより評価を行いました。
※3:世界保健機関(WHO)が中心となり設立した「睡眠と健康に関する世界プロジェクト」が作成した不眠症の自己チェックシート。得点が高いほど不眠症の疑いがある。
(1~3点:睡眠がとれている、4~5点:不眠症の疑いが少しある、6点以上:不眠症の可能性が高い)
◆株式会社バスクリンは、入浴に関する様々な情報を発信しています。
・健やかで心地よい生活をサポートするTipsをお届け 「~健康応援マガジン~ カラダととのエール」
< https://www.bathclin.co.jp/health-column/ >
・商品開発の裏側や入浴について、楽しくお伝え 「バスクリン ほかほかチャンネル」
< https://www.youtube.com/channel/UC4UhwLOGEUKLpHfp6yV7CSQ >
株式会社バスクリンは「健康は、進化する。」をスローガンに、お客様の健やかで心地よい生活の提供をめざしてまいります。
- 背景
※1:浴用剤使用が親子の睡眠の質を上げ、QOLの向上寄与に有用な可能性~第44回日本睡眠学会定期学術集会にて発表~ 2019年
※2:入浴が保護者と幼児の生活習慣、QOL、子育て、しつけ、教育に有用な可能性~第78回日本公衆衛生学会総会にて発表~ 2019年
- 結果まとめ
①母親の睡眠状態が有意に改善し、不眠症の疑いがある人の数は、試験前(12人)から2週間後(7人)、4週間後(3人)と減少が確認されました。
②母親の睡眠による疲労回復感に好影響を及ぼすことが示されました。
③子どもの睡眠状態や生活リズムに好影響を及ぼすことが示されました。
④子どもの日中の様子に好影響を及ぼすことが示されました。
- 方法
母親の睡眠状態について、試験前と2週間後、4週間後にアテネ不眠尺度※3を使用した自己評価を行いました。また、母親の睡眠の満足感については、4つの項目について、母親自身が毎日点数化することにより評価を行いました。子どもの睡眠状態や日中の様子は、母親が評価項目に沿って毎日点数化することにより評価を行いました。
※3:世界保健機関(WHO)が中心となり設立した「睡眠と健康に関する世界プロジェクト」が作成した不眠症の自己チェックシート。得点が高いほど不眠症の疑いがある。
- 【結果1】 親子の睡眠状態が改善

図1 試験期間中の母親の睡眠状態の変化
(●:各回答者の得点、棒グラフ:得点の平均値)(1~3点:睡眠がとれている、4~5点:不眠症の疑いが少しある、6点以上:不眠症の可能性が高い)

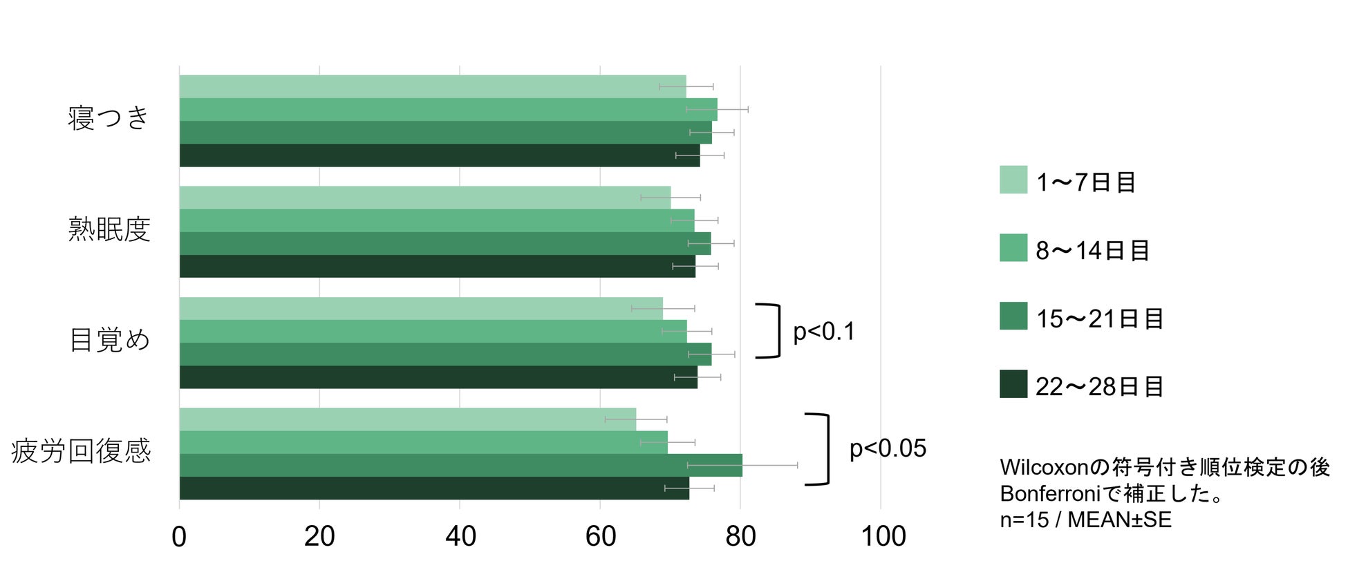
図2 母親の睡眠に関する満足感
(100点満点で点数化)
子どもの睡眠状態については、睡眠時の4つの項目について、母親が毎日点数化したものを1週間ごとに平均化しました。その結果、「寝汗をかかなかった」について、22~28日目は1~7日目から改善しました(図3)。また、子どもの起床時刻について、22~28日目は1~7日目よりも早まり、入浴剤を使用した入浴の習慣化が子どもの睡眠状態や生活リズムについても好影響を及ぼすことが示されました(図4)。

図3 子どもの睡眠状態に関する評価
(普段より悪かった:-5 ~ 普段より良かった:+5 で点数化)

図4 子どもの起床・就床時刻
(母親が毎日測定)
- 【結果2】 子どもの日中の様子が改善

図5 子どもの日中の様子に関する評価
(普段より悪かった:-5 ~ 普段より良かった:+5 で点数化)- まとめ
◆株式会社バスクリンは、入浴に関する様々な情報を発信しています。
・健やかで心地よい生活をサポートするTipsをお届け 「~健康応援マガジン~ カラダととのエール」
< https://www.bathclin.co.jp/health-column/ >
・商品開発の裏側や入浴について、楽しくお伝え 「バスクリン ほかほかチャンネル」
< https://www.youtube.com/channel/UC4UhwLOGEUKLpHfp6yV7CSQ >
株式会社バスクリンは「健康は、進化する。」をスローガンに、お客様の健やかで心地よい生活の提供をめざしてまいります。
このプレスリリースには、メディア関係者向けの情報があります
メディアユーザーログイン既に登録済みの方はこちら
メディアユーザー登録を行うと、企業担当者の連絡先や、イベント・記者会見の情報など様々な特記情報を閲覧できます。※内容はプレスリリースにより異なります。
すべての画像
