Player One冷却CMOSカメラ「Poseidon-C Pro」「Poseidon-M Pro」、カメラ用アクセサリー15製品発売

発売概要
商品名、市場予想価格
(希望小売価格はいずれもオープン価格)
・Poseidon-C Pro(カラー):税込280,000円前後
・Poseidon-M Pro(モノクロ):税込350,000円前後
・Phoenix M48電動フィルターホイール 8×1.25”:税込47,000円前後
・Phoenix M48電動フィルターホイール 7×36mm:税込47,000円前後
・USB3.2 TypeC to A (2m)ケーブル:税込3,000円前後
・USB2.0 TypeC to A (2m)ケーブル:税込3,000円前後
・USB2.0 TypeC to B (0.5m)ケーブル:税込3,000円前後
・USB2.0 TypeC to B (1m)ケーブル:税込3,000円前後
・USB2.0 TypeC to C (0.5m)ケーブル:税込2,000円前後
・M48カメラキャップ:税込2,000円前後
・M54オス-M48オス 2mmアダプター:税込3,000円前後
・M54オス-M54オス 2mmアダプター:税込3,000円前後
・M48メス-M54オス 17.5mmアダプター:税込5,000円前後
・M48メス-M48オス 17.5mmアダプター:税込4,000円前後
・M48メス-M48オス 20mmアダプター:税込4,000円前後
・M54/M48 FHDオフアキシスガイダーMAX:税込30,000円前後
・M54/M48フィルタードロワーMAX:税込22,000円前後
※市場予想価格はあくまで当社が予想した価格であり、実際の販売価格とは異なります。
発売日:2023年4月25日(火)
Poseidon-C Pro, Poseidon-M Pro
■製品特長
SONY製IMX571センサー搭載
IMX571はSONY製の2610万画素APS-Cフォーマットセンサーです。1画素3.76μmの微細なピッチによって高解像度な画像を得られます。裏面照射型のSTARVISテクノロジーにより、最大91%の極めて高い量子変換効率と低読み出しノイズを実現しています。また、光の情報をデジタル信号に変換するADCは高分解能な16bitを搭載しており、豊かでなめらかな階調の記録が可能です。
※モノクロ≒91%、カラー≒81%
最大71.7Ke-の飽和電荷容量
Player Oneの独自のチューニングにより、IMX571のカタログスペックでは50ke-の飽和電荷容量(FullWell)を71.7ke-まで拡張しています。飽和しにくいことによって、表現の幅がより広がります。
デュアルTEC冷却システム
2つのTEC(冷却素子)を用いてセンサーを冷却するデュアルTEC冷却システムを搭載しています。センサーチャンバーの構造の最適化、テフロンスペーサーによる伝導熱(ヒートバック)の軽減、大型ヒートシンクによる効率的な排熱により、最大で外気温-40℃の強力な冷却が可能です。また、冷却による結露を防ぐための結露防止ヒーターを内蔵しています。

先進的なUSB Type-Cを採用
カメラとパソコンの接続にはUSB-AやUSB-Bより先進的な規格であるUSB3.0 Type-Cを使用します。USB Type-Cにはコネクターの裏表の区別がなく、迅速で確実な接続が可能です。オートガイダーなどのアクセサリー用のポートも用意されており、接続にはUSB2.0 Type-Cを使用します。

合理的な筐体設計
唯一無二の八角形の特徴的ボディは、見た目の美しさだけではなく、カメラを取り扱う上でも使いやすい工夫に溢れています。美しい天体写真を撮影するためには、東西南北の軸に対するセンサーの長辺、短辺の直交性は重要です。Poseidonのボディはセンサーの辺に対応する位置が平面になっており、セッティングや構図の変更時に、容易に角度を合わせることができます。
また、望遠鏡との接続部分は円形になっており、一部のプライムフォーカス鏡筒に使用した際に回折光を円形に保ち、星像に与える遮蔽の影響を最小限にとどめる効果が期待できます。
取り扱いやすいセンサーチルトプレート
カメラを望遠鏡に取り付けた状態でも簡単に操作ができるチルトプレート形状を採用。各辺に対応した位置に調整ネジがあり、スケアリングの調整に際してより直感的に傾きを修正することができます。チルトプレートと本体の間には遮光性に優れたシェーディングパッドが装着されており、隙間からの迷光の心配はありません。
豊富な階調表現が可能な16bitADC搭載
Poseidonシリーズでは、センサーからのアナログ信号をデジタルに変換するコンバーター(ADC)に16bitの高分解能なものを使用しています。12bitADCの16倍、14bitADCの約4倍の高い分解能を持ち、センサーから出力されるごくわずかな階調差も精密に記録します。
デッドピクセルサプレッション(DPS)テクノロジー搭載
DPSテクノロジーが搭載されたPlayer Oneのカメラは、ホットピクセルやクールピクセルと言った欠損画素(デッドピクセル)を自動で判別し、カメラ内部のメモリへ記録することで撮影時に自動的に補正を行います。これによりデッドピクセルを大幅に抑制することができます。
DDR3 512MB大容量キャッシュメモリ搭載
本体内部に512MBの大容量DDR3キャッシュメモリを搭載しています。フレームのドロップを回避し、読み出しを安定させることでリードアウトノイズやアンプグローを大幅に減らす効果があります。
HCG(high conversion gain)モード
Player Oneのカメラには独自のHCGモードが装備されています。HCGモードは、ハイゲイン設定時に読み出しノイズを大幅に低減し、低ゲインと同じ高ダイナミックレンジを維持できます。
ノンアンプグロー
IMX571センサーにはアンプグローがなく、センサー全域で極めて均一な受光特性を持っています。
2種類の画素読み出しモード
PoaseidonシリーズのカメラにはNormalモードとLowNoiseモードの2種類の異なる特性を持った画素読み出しモードが搭載されています。LowNoiseモードでは読み出しノイズが大幅に低減され、長時間露光時に、より低ノイズな画像を得ることができます。


キャプチャーソフトでの使用について |
■主な仕様
商品名:Poseidon-C Pro/Poseidon-M Pro
センサー :SONY IMX571 裏面照射型CMOSセンサー
フォーマット:APS-C(23.5mm×15.7mm)
解像度:6252×4176(約2610万画素)
ピクセルピッチ:3.76μm×3.76μm
シャッター:ローリングシャッター
シャッター速度:32μs~2000s
QE:約81%(カラー)/約91%(モノクロ)
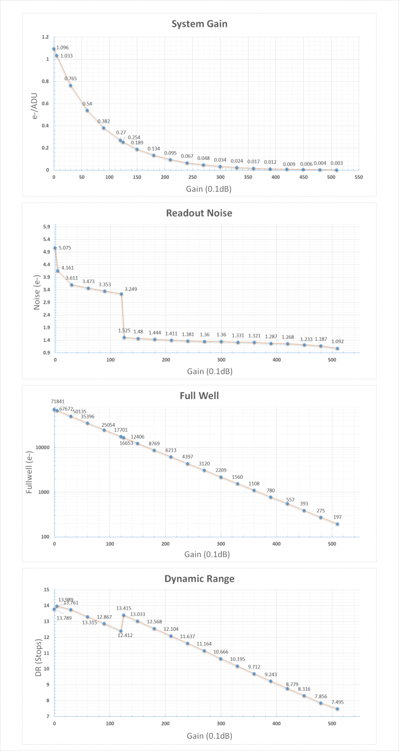
飽和電荷容量:71,700ke-
ADC:16bit
読み出しノイズ:3.9-1.0e-
HCGモード:対応(gain125~)
FPS:10(最大)
保護ガラス:ARコートクリア(直径φ46mm/厚さ2mm)
フランジバック:17.5mm/12.5mm(チルトプレート取り外し時)
データポート :メインケーブルUSB3.0(Type-C)、アクセサリーUSB2.0(Type-C)
電源:DC12V 3A(最大) 内径φ2.1mm外径φ5.5mmセンタープラス
冷却能力:外気温-40℃±2℃
動作温度:-10℃~60℃
動作湿度:0%~80%
内部キャッシュ:512MB DDR3
接続規格:M48 P0.75mm/50.8mm差し込み/31.7mm差し込み
質量:約650g
筐体最大直径:90mm
対応OS:Windows7,8,10,11
付属品:カメラ本体、USB3.0Type-C to Aケーブル(2m)、USB2.0Type-C to Cケーブル(0.4m)、USB2.0Type-C to Aケーブル(0.4m)、六角レンチ、セミハードケース、ハンドブロワー、50.8mmアダプター、31.7mmアダプター、ケーブルバンド、予備ネジ
Player One Poseidon-C Pro gain126 / offset50 -20℃ 40×180秒 / Askar FRA400 / SHARPSTAR MarkⅢ赤道儀
◆ノーマルモード時スペック / LowNoiseモード時スペック
ノーマルモード時
LowNoiseモード時
◆感度特性(モノクロ)

◆感度特性(カラー)

Phoenix M48電動フィルターホイール 8×1.25” / Phoenix M48電動フィルターホイール 7×36mm

■製品特長
USB2.0Type-CでPCと接続し、ASCOMを介してして電動でフィルターの切り替えを行うことのできるフィルターホイールです。
ホイール部分の厚さは21mm*、モーターを搭載した最厚部でも30mmと極めて薄型です。磁気を利用した非接触ホールセンサーと9.5mm厚の超薄型静音ステッピングモーターを搭載しており、フィルターを定位置へ素早く正確に回転させることができます。
カメラや望遠鏡との接続は、汎用性の高いM48×P0.75mm(メス)を使用します。搭載枚数は1.25″フィルター8枚と、36mmフィルター7枚の2バリエーションがあります。オフアキシスガイダーと組み合わせる場合は、M2.5のネジ穴にビス止めすることで、プリズムの位置を正確に合わせることが可能です。
■主な仕様
光路長:約20mm*
最厚部:30mm
モーター:薄型ステッピングモーター
端子:USB2.0 Type-C
ホイール外径:約168mm×約184mmの涙滴型
フィルター仕様:1.25“(アメリカンサイズ)8枚/36mm枠なしフィルター7枚
質量:約520g(フィルター除く)
USB3.2 TypeC to A (2m)ケーブル / USB2.0 TypeC to A (2m)ケーブル / USB2.0 TypeC to B (0.5m)ケーブル / USB2.0 TypeC to B (1m)ケーブル / USB2.0 TypeC to C (0.5m)ケーブル

Player Oneの冷却CMOSカメラとPC、ガイドカメラやフィルターホイールを接続するためのUSB Type-C各種ケーブルです。
※画像はUSB3.2 TypeC to A (2m)ケーブルです。
M48カメラキャップ

Poseidonシリーズのカメラなど、接続がM48×P0.75mmメスのカメラのセンサーの前や延長筒の先端に取り付けることで、素子やレンズをキズやホコリから保護をするための金属キャップです。回しやすいローレット加工が施され、ゴムパッキンが装着されています。
M54オス-M48オス 2mmアダプター / M54オス-M54オス 2mmアダプター / M48メス-M54オス 17.5mmアダプター / M48メス-M48オス 17.5mmアダプター / M48メス-M48オス 20mmアダプター

主にPoseidonシリーズなどの冷却CMOSカメラを、望遠鏡やフィルターホイール、オフアキシスガイダーと運用するために使用する各種延長筒です。
※画像はM48メス-M48オス 20mmアダプターです。
M54/M48 FHDオフアキシスガイダーMAX

光路長付属の専用アタッチメントプレートを取り替えることでM42(鏡筒側に変換リングを取り付けて対応)、M48、M54の接続方法を切り替えることができるオフアキシスガイダーです。
14mm×8mmの大型FullHDプリズムを搭載し、IMX174/IMX249等の1.2/1型センサーを使用した場合でも、ガイドカメラにケラレが生じることなくガイド星を捉えることができます。
ガイドカメラを取り付けるヘリコイドはストローク長約9mmの直進式ヘリコイドを採用。センサーの縦横位置を変えること無く、精密にガイド星のピントを合わせることができます。
同社製Phoenix M48電動フィルターホイールもしくはフィルタードロワーMAXと組み合わせてカメラと望遠鏡に取り付けます。4箇所または6箇所をネジ止めして固定する方式のため、カメラとオフアキシスガイダーのみでの接続はできませんのでご注意ください。
■主な仕様
光路長:17.5mm
プリズム寸法:14mm×8mm
対応カメラ:スティックタイプのガイドカメラシリーズ/IMX174, IMX249(1/1.2型)まで
対物側接続径:M48×P0.75メス/M54×P0.75メス/M42→M48変換リング付属
カメラ側接続径:ねじ込みなし(フィルタードロワー・ホイールに接続)
質量:約250g(カメラ除く)
※取り付け条件
以下の場合は望遠鏡の接眼部とヘリコイドが干渉するため取り付けできません。
・本製品の鏡筒取付面から長さ15mmの範囲で、鏡筒接眼部の外径がφ85mm以上あるもの。

M54/M48フィルタードロワーMAX

光路長20mmのM48フィルター用ドロワーです。カメラ側はM54オスもしくはM48オスの接続が使用でき、望遠鏡側はM54メス、M48メス(延長筒使用)、50.8mm差し込みに対応しています。
予めドロワーが2枚セットになっていますので、オプションを用意しなくても異なる2種類のフィルターをワンタッチで差し替えることが可能です。
3点の調整ネジによりドローの際の硬さや差し込んだ際の傾きを精密に調整できます。
ねじ込み用のネジとは別に、オフアキシスガイダーや冷却CMOSカメラと接続するためのM2.5ネジ穴が6箇所開いています。この穴を使用することで、オフアキシスガイダーのプリズムの位置やフィルタードロワーのドロワーを、センサーやカメラに干渉しにくい向きに正確に固定することができます。
■主な仕様
光路長:20mm*
対物側接続径:M54×P0.75メス/M42→M48変換リング付属
M48×P0.75メス(17.5mm延長筒使用時)
接眼側接続径:M54×P0.75オス/M48×P0.75オス
質量:約80g(フィルター・アタッチメント除く)
*光学フィルターを挿入して使用することを前提としているため、光学フィルター挿入時の光路長を約20mmとして表記しています。光学フィルターを挿入しない場合の光路長は約21mmとなりますのでご注意ください。
※記載されている会社名、商品名は各社の商標または登録商標です。
※本プレスリリースに記載の商品は天体望遠鏡専門店およびサイトロンジャパン直営店のみでの取扱となります。
【本製品についてのお問合せ】
株式会社サイトロンジャパン
国内営業本部 ストア課
TEL:03-6908-3112
ーーーーーーーーーーーーーーー
Player One
Player One Astronomy社は、中国蘇州に拠点を置く天体観測機器メーカーです。「Player One」のブランド名の下、革新的な技術で洗練された製品を開発し、天体観測機器市場のトッププレーヤーを目指しています。
https://www.sightron.co.jp/playerone.html
ーーーーーーーーーーーーー
株式会社サイトロンジャパン
双眼鏡や天体撮影カメラ等の光学製品を製造・販売する光学メーカーです。海外製の交換レンズブランドや、世界最大の天体望遠鏡メーカーの国内代理店業務も行っています。
https://www.sightron.co.jp
ーーーーーーーーーーーーーーー
すべての画像
