EMSと認知機能に関する研究成果が『European Journal of Applied Physiology』に掲載
株式会社MTG(本社:愛知県名古屋市、代表取締役社長:松下剛)は,金沢大学 西川裕一氏らのグループとの認知機能に対する骨格筋電気刺激に関する研究成果が,国際的なジャーナル誌『European Journal of Applied Physiology』に掲載されましたことをご報告いたします。
概要:
脳由来神経栄養因子(Brain-derived Neurotrophic factor:BDNF※1)は,主に脳の記憶を司る海馬に発現する神経性因子であり,学習,記憶,認知に関わっていることが知られています。アルツハイマー病患者では,海馬におけるBDNFの発現が低下しており,近年はうつ病や心不全,パーキンソン病といった様々な病気でもBDNFの発現量が低下していることが報告されており,BDNFの低下は種々の病気の重篤化にも繋がることが指摘されています。BDNFは脳内の海馬のみならず,骨格筋細胞からも発現することが動物研究から報告されており,運動は認知機能改善に有効な手段として注目されつつありますが,BDNFの発現量は運動の負荷量に依存しており,低負荷な運動では発現量が少なく,高齢者や有疾患者では効果的な介入方法がないのが現状でした。
本研究では,筋肉に対して電気刺激を行う神経筋電気刺激(Electrical Muscle Stimulation:EMS※2)を用いて,血中BDNFの発現量を検討しました。
その結果,EMSにて刺激する筋肉量が多いほど血中BDNF濃度が増加することや,約20分間にわたりBDNFの発現量が増加していくことを確認しました。さらに大腿部よりも下腿部(ふくらはぎ)への刺激が効果的であることを見出しました。
■研究の背景
日本では,人口高齢化などを背景として,アルツハイマー病やパーキンソン病など神経変性疾患が右肩上がりに増加しています。神経変性疾患は,根治に至る治療法が確立しておらず,患者自身だけでなく介護にあたる家族のQOL低下などの背景から,ブレイクスルーとなるような治療戦略の確立が急務です。
近年,神経筋機能の活性化に寄与する物質としてBDNFの機能が注目されています。BDNFは,神経の保護や再生,海馬体積の増加,筋タンパクの合成など,非常に多くの機能を有しています。BDNFは主には脳内にて発現しますが,骨格筋細胞からも発現することが動物実験から明らかにされており,運動によってBDNF濃度が増加することも知られています。これらの背景から,運動は認知機能の改善に有効な手段として注目されつつありますが,BDNFの発現量は,運動の負荷量に依存しており,低負荷な運動ではBDNFがほとんど発現されないことが指摘されています。このような背景を受けて,高齢者や有疾患者に対する効果的な介入手法の確立は急務とされています。
■研究成果の概要
本研究では,健常若年者12名(男性9名,女性3名,27.3±5.5歳)を対象とし,2条件のEMS介入およびコントロール(無刺激)の合計3条件を実施しました(図1)。採血は,Pre,Post,20min,40minのそれぞれで実施しました。コントロール条件のみ,PreとPostのみ採血を行いました。EMSは座位姿勢にて23分間実施しました。介入効果が反映されないよう,各条件間で最低1週間の間隔を空けて実施しました。
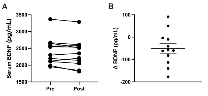
コントロール条件では,PreとPostで血中BDNF濃度に変化がないことを確認しました(図2)。EMS介入に関しては,大腿四頭筋+下腿三頭筋の刺激において,刺激直後と刺激後20分経過時において有意に血中BDNF濃度が増加することを確認し,刺激後20分経過時では大腿四頭筋のみの刺激と比較して,大腿四頭筋+下腿三頭筋の刺激は有意に血中BDNF濃度が高いことが明らかになりました(図3 )。一方で大腿四頭筋のみの刺激では、介入に伴う有意な血中BDNF濃度の増加は認めませんでした。
これらの結果より,EMSの刺激筋肉量が多いほど血中BDNF濃度の増加に寄与することが明らかになり,大腿四頭筋よりも下腿三頭筋のほうが刺激部位としては有益であることが明らかになりました。
■今後の展開
■掲載論文
雑誌名:European Journal of Applied Physiology
論文名:Electrical Muscle Stimulation in Young Adults: Effect of Muscle Volume on Brain-Derived Neurotrophic Factor Level.(若年者を対象とした神経筋刺激による刺激筋量が脳由来神経栄養因子の発現濃度の及ぼす影響)
著者名:Yuichi Nishikawa,Hiroyuki Sakaguchi,Shuhei Kawade,Noriaki Maeda,Shinobu Tanaka,Allison Hyngstrom(西川裕一,坂口寛幸,川出周平,前田慶明,田中志信,Allison Hyngstrom)
■用語解説
※1 脳由来神経栄養因子(Brain-derived neurotrophic factor:BDNF)
神経栄養因子の一つで特に海馬に多く,記憶に関与し神経細胞の機能の維持などに重要な物質として知られている。認知症やうつ病,心不全などの患者はBDNFが減少していることから,種々の病気にも関与していることが指摘されている。
※2 神経筋電気刺激(Electrical muscle stimulation:EMS)
神経・筋を興奮させるために経皮的に電流を流す治療法の一つ。リハビリテーション分野では,筋力増強や代謝機能の改善などを目的に行われることが多い。
MTGは、自社開発のみならず、大学との産官学の共同研究や、他企業との共同開発に取り組むことで、先進のテクノロジーと最高峰の知恵を融合させ、革新的なブランドを創出してまいりました。今後も、世界中の人々に生き生きとした前向きな人生を送っていただくためのフィットネス製品とサービスを創出し、多くの人の健やかな身体づくりをサポートしてまいります。
概要:
脳由来神経栄養因子(Brain-derived Neurotrophic factor:BDNF※1)は,主に脳の記憶を司る海馬に発現する神経性因子であり,学習,記憶,認知に関わっていることが知られています。アルツハイマー病患者では,海馬におけるBDNFの発現が低下しており,近年はうつ病や心不全,パーキンソン病といった様々な病気でもBDNFの発現量が低下していることが報告されており,BDNFの低下は種々の病気の重篤化にも繋がることが指摘されています。BDNFは脳内の海馬のみならず,骨格筋細胞からも発現することが動物研究から報告されており,運動は認知機能改善に有効な手段として注目されつつありますが,BDNFの発現量は運動の負荷量に依存しており,低負荷な運動では発現量が少なく,高齢者や有疾患者では効果的な介入方法がないのが現状でした。
本研究では,筋肉に対して電気刺激を行う神経筋電気刺激(Electrical Muscle Stimulation:EMS※2)を用いて,血中BDNFの発現量を検討しました。
その結果,EMSにて刺激する筋肉量が多いほど血中BDNF濃度が増加することや,約20分間にわたりBDNFの発現量が増加していくことを確認しました。さらに大腿部よりも下腿部(ふくらはぎ)への刺激が効果的であることを見出しました。
■研究の背景
日本では,人口高齢化などを背景として,アルツハイマー病やパーキンソン病など神経変性疾患が右肩上がりに増加しています。神経変性疾患は,根治に至る治療法が確立しておらず,患者自身だけでなく介護にあたる家族のQOL低下などの背景から,ブレイクスルーとなるような治療戦略の確立が急務です。
近年,神経筋機能の活性化に寄与する物質としてBDNFの機能が注目されています。BDNFは,神経の保護や再生,海馬体積の増加,筋タンパクの合成など,非常に多くの機能を有しています。BDNFは主には脳内にて発現しますが,骨格筋細胞からも発現することが動物実験から明らかにされており,運動によってBDNF濃度が増加することも知られています。これらの背景から,運動は認知機能の改善に有効な手段として注目されつつありますが,BDNFの発現量は,運動の負荷量に依存しており,低負荷な運動ではBDNFがほとんど発現されないことが指摘されています。このような背景を受けて,高齢者や有疾患者に対する効果的な介入手法の確立は急務とされています。
■研究成果の概要
本研究では,健常若年者12名(男性9名,女性3名,27.3±5.5歳)を対象とし,2条件のEMS介入およびコントロール(無刺激)の合計3条件を実施しました(図1)。採血は,Pre,Post,20min,40minのそれぞれで実施しました。コントロール条件のみ,PreとPostのみ採血を行いました。EMSは座位姿勢にて23分間実施しました。介入効果が反映されないよう,各条件間で最低1週間の間隔を空けて実施しました。
コントロール条件では,PreとPostで血中BDNF濃度に変化がないことを確認しました(図2)。EMS介入に関しては,大腿四頭筋+下腿三頭筋の刺激において,刺激直後と刺激後20分経過時において有意に血中BDNF濃度が増加することを確認し,刺激後20分経過時では大腿四頭筋のみの刺激と比較して,大腿四頭筋+下腿三頭筋の刺激は有意に血中BDNF濃度が高いことが明らかになりました(図3 )。一方で大腿四頭筋のみの刺激では、介入に伴う有意な血中BDNF濃度の増加は認めませんでした。
これらの結果より,EMSの刺激筋肉量が多いほど血中BDNF濃度の増加に寄与することが明らかになり,大腿四頭筋よりも下腿三頭筋のほうが刺激部位としては有益であることが明らかになりました。
■今後の展開
本研究により,EMSが血中BDNF濃度の増加に寄与すること,刺激部位としては下腿三頭筋が有益であることが明らかとなり,今後認知症患者などの有疾患者への新たな介入方法としての応用が期待されます。


図2:A:コントロール条件でのPreとPostの比較,B:PreとPostの差分。平均値±標準偏差

図3:血中BDNF濃度の変化量(Preとの差分)*p<0.05,Preとの比較.† p<0.05,条件間の比較
■掲載論文
雑誌名:European Journal of Applied Physiology
論文名:Electrical Muscle Stimulation in Young Adults: Effect of Muscle Volume on Brain-Derived Neurotrophic Factor Level.(若年者を対象とした神経筋刺激による刺激筋量が脳由来神経栄養因子の発現濃度の及ぼす影響)
著者名:Yuichi Nishikawa,Hiroyuki Sakaguchi,Shuhei Kawade,Noriaki Maeda,Shinobu Tanaka,Allison Hyngstrom(西川裕一,坂口寛幸,川出周平,前田慶明,田中志信,Allison Hyngstrom)
■用語解説
※1 脳由来神経栄養因子(Brain-derived neurotrophic factor:BDNF)
神経栄養因子の一つで特に海馬に多く,記憶に関与し神経細胞の機能の維持などに重要な物質として知られている。認知症やうつ病,心不全などの患者はBDNFが減少していることから,種々の病気にも関与していることが指摘されている。
※2 神経筋電気刺激(Electrical muscle stimulation:EMS)
神経・筋を興奮させるために経皮的に電流を流す治療法の一つ。リハビリテーション分野では,筋力増強や代謝機能の改善などを目的に行われることが多い。
MTGは、自社開発のみならず、大学との産官学の共同研究や、他企業との共同開発に取り組むことで、先進のテクノロジーと最高峰の知恵を融合させ、革新的なブランドを創出してまいりました。今後も、世界中の人々に生き生きとした前向きな人生を送っていただくためのフィットネス製品とサービスを創出し、多くの人の健やかな身体づくりをサポートしてまいります。
このプレスリリースには、メディア関係者向けの情報があります
メディアユーザーログイン既に登録済みの方はこちら
メディアユーザー登録を行うと、企業担当者の連絡先や、イベント・記者会見の情報など様々な特記情報を閲覧できます。※内容はプレスリリースにより異なります。
すべての画像
- 種類
- 調査レポート
- ビジネスカテゴリ
- 医療・病院福祉・介護・リハビリ
- ダウンロード
