ヒアルロン酸による光老化抑制効果を発見
オリゴヒアルロン酸4糖(HA4)の新たな抗炎症・抗老化メカニズムを解明
ロート製薬株式会社(本社:大阪市、社長:杉本雅史)は、健康的な肌を維持し、目や皮膚などあらゆる組織に備わる成分であるヒアルロン酸に着目し、その多様な機能と可能性の研究をすすめています。今回、愛媛大学大学院医学系研究科皮膚科学との共同研究にて超低分子ヒアルロン酸であるオリゴヒアルロン酸4糖※1(以下、HA4)の光老化※2抑制効果に関する研究を行い、新たな抗炎症・抗老化メカニズムの解明に至りました。本研究の成果は、2025年5月7日~10日に米国サンディエゴで開催された「2025 SID Annual Meeting(米国皮膚科学会年次総会)」にて発表されました。また、本研究論文は、国際学術誌「Frontiers in Immunology」へ掲載されました。
1.研究成果のポイント
◆ HA4が光老化した皮膚で増加する炎症性マクロファージの分極誘導を抑制し、炎症性サイトカインの発現を低下させることを確認
◆ HA4が光老化で低下する繊維芽細胞のコラーゲン産生能を改善することを発見
◆ HA4を配合した光老化対策のスキンケア製品開発への応用に期待
2.研究の背景
「超低分子ヒアルロン酸(HA4)」 へ着目
ヒアルロン酸はその高い保水力から保湿成分として様々なスキンケア製品に広く利用されてきました。さらに、ヒアルロン酸は分子量の違いによって多様な生理活性を持つことが明らかになってきており、当社でも紫外線による炎症の抑制など様々な機能を発見してまいりました※3。中でも、高分子ヒアルロン酸の抗炎症作用に関する研究は数多く報告されている一方で、低分子ヒアルロン酸に関する研究例は少なく、超低分子ヒアルロン酸であるHA4に関する皮膚への研究例についてはさらに限られています。
将来の肌に大きな影響を及ぼす 「光老化」 とマクロファージ
皮膚の老化には、加齢による「自然老化」に加えて紫外線などの外的要因による「光老化」が関与しており、特に顔や手など日光にさらされる部位の老化の大半は光老化によるものと報告されています(引用文献1)。さらに、日本の地表に到達する紫外線量は年々増加しており、皮膚における光老化の制御は美容および健康の観点から重要な課題です。
近年の研究で、皮膚の光老化において真皮に存在するマクロファージの免疫応答が重要な役割を果たすことが指摘されています。光老化が進行した皮膚では、炎症を引き起こすM1マクロファージ※4が優位になり、抗炎症性のM2マクロファージ※5とのバランスが崩れている状態にあります。このマクロファージバランスの乱れは、コラーゲンの産生・分解といった代謝機構(コラーゲンリモデリング※6)に悪影響を及ぼし、皮膚の弾力性低下など、光老化特有の症状を引き起こす一因であると考えられています。
HA4が導く新たな皮膚老化制御
本研究では、HA4がマクロファージの分極・性質を調整することで、線維芽細胞によるコラーゲンリモデリングを間接的に改善するという新たなメカニズムに着目しました。これは、紫外線による直接的なダメージに加え、免疫細胞と線維芽細胞との間の相互作用(クロストーク)を介した老化促進のプロセスに着目した、新しいアプローチです。(図1)

3.結果
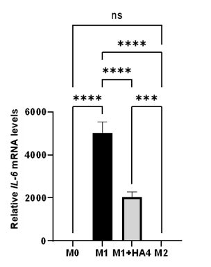
結果1.HA4がM1マクロファージの分極および炎症性サイトカイン産生を部分的に抑制することを発見
まず、炎症性のM1マクロファージへの分極誘導過程にHA4を添加したところ、M1マクロファージの代表的な炎症性サイトカインであるIL-6の遺伝子発現量が有意に低下することが確認されました。(図2)

結果2.炎症を起こした肌細胞で、コラーゲンが減る仕組みとHA4の働きを解明
次に、M1マクロファージが分泌する炎症性因子の影響を検証するため、その培養上清(M1)をヒト皮膚の線維芽細胞に添加した結果、添加しないもの(Control)に比べて、炎症性サイトカイン(IL-6、IL-8)の発現が上昇し、コラーゲン分解に関わる酵素であるMMP-1の発現も増加しました。
一方で、HA4処理したM1マクロファージ由来の上清(M1+HA4)を用いた場合、これらの炎症性サイトカインおよびMMP-1の発現は有意に抑制されました。(図3)

さらに、免疫蛍光染色と蛍光顕微鏡による観察の結果、通常の線維芽細胞が産生するコラーゲン線維(Control)と比較して、M1上清を添加した条件ではコラーゲン線維の量が減少していることが確認されました。一方、M1+HA4上清の条件では、コラーゲン線維の形成が改善されていることが明らかとなりました。(図4)


4.考察
本研究により、HA4がM1マクロファージの炎症誘導と、それに伴う線維芽細胞におけるコラーゲン分解の促進を抑制する作用を持つことが示されました。
特に、M1マクロファージから放出されるIL-6などの炎症性サイトカインが線維芽細胞でのMMP-1などの発現を高めることで、肌の弾力性を担うコラーゲン線維の形成が阻害されるというメカニズムが明らかになりました。これは、光老化に伴うシワやたるみの形成メカニズムの一端を解明する結果といえます。
一方で、HA4がM1マクロファージの炎症性変化を制御し、それを通じて線維芽細胞におけるコラーゲン線維の維持・再形成を促進することから、HA4は単なる保湿成分にとどまらず、抗炎症・抗光老化成分として新たな機能性を有する可能性があると考えられます。(図5)

5.本研究成果が社会に与える影響(本研究成果の意義)
本研究成果は、超低分子ヒアルロン酸であるHA4が単なる保湿成分ではなく、光老化に起因する炎症やコラーゲンリモデリングを制御する新たな成分として、スキンケア製品へ応用される可能性が期待されます。
また、光老化に関与する皮膚の細胞間相互作用(クロストーク)について理解を深めることで、皮膚老化メカニズムの解明にも貢献すると考えます。今後、本研究が進展すれば、高齢化社会において健やかな肌を維持するための科学的基盤となることが期待され、美容・健康の両面から人々の生活の質(QOL)の向上に寄与することが望まれます。
特記事項
本研究成果は、愛媛大学大学院医学系研究科皮膚科学 武藤潤先生との共同研究によるものです。
2025年6月5日に国際的なオープンアクセス科学誌である「Frontiers in Immunology」(電子版)に掲載されました。
タイトル:Targeting Inflammatory Macrophages with Hyaluronan Tetrasaccharide: Effects on Fibroblast Collagen Degradation and Synthesis
著者名:Eiko Uno, Florence Kim, Mihoko Yoshino, Yasunari Sato, Masao Hashimoto, Kenji Watanabe, Yoichi Mizukami, Jun Muto
https://www.frontiersin.org/journals/immunology/articles/10.3389/fimmu.2025.1592751/abstract
用語説明
※1 オリゴヒアルロン酸4糖(HA4):ヒアルロン酸の最小単位である4つの糖が結合した、超低分子ヒアルロン酸。通常のヒアルロン酸よりも小さいため、肌への浸透性が高く、特有の生理活性を持つと考えられている。
※2 光老化:紫外線による慢性的な皮膚ダメージによって引き起こされる老化現象。シワ、シミ、たるみなどの原因となり、通常の加齢による自然老化とは異なるメカニズムで進行する。
※3 ロート製薬のヒアルロン酸研究リリース:
ヒアルロン酸による紫外線誘発性炎症因子の抑制(2017年3月)
https://www.rohto.co.jp/research/researchnews/technologyrelease/2017/0316_01/
超低分子ヒアルロン酸(HA4)の紫外線ダメージ抑制効果(2020年7月)
https://www.rohto.co.jp/research/researchnews/technologyrelease/2020/0731_01/
※4 M1マクロファージ:免疫系の細胞の一種で、炎症を促進する性質を持つ。皮膚の炎症反応や老化プロセスに関与していると考えられている。
※5 M2マクロファージ:免疫系の細胞の一種で、炎症を抑制し、組織修復や再生を促進する性質を持つ。
※6 コラーゲンリモデリング:皮膚中のコラーゲン線維の分解と再生のバランスを調整するプロセス。このバランスが崩れると、シワやたるみの原因となる。
引用文献1
Reiche L, Sebaratnam D. Photoaging and Sunscreen. Research Review Educational Series. 2020. Available from: https://www.researchreview.co.nz
■ロート製薬株式会社 https://www.rohto.co.jp/
ロート製薬株式会社は、大阪・関西万博 「大阪ヘルスケアパビリオン」のスーパープレミアムパートナーです。

このプレスリリースには、メディア関係者向けの情報があります
メディアユーザー登録を行うと、企業担当者の連絡先や、イベント・記者会見の情報など様々な特記情報を閲覧できます。※内容はプレスリリースにより異なります。
すべての画像
- 種類
- その他
- ビジネスカテゴリ
- 医薬・製薬スキンケア・化粧品・ヘア用品
- ダウンロード
