2024年10月 空港運用状況 国際線外国人旅客数が195万人で過去最高を更新航空機発着回数がコロナ禍前とほぼ同水準まで回復

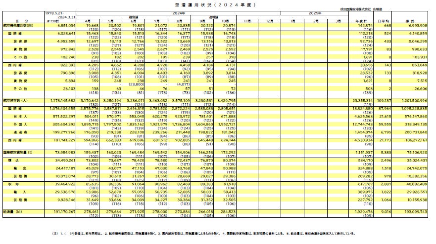
●航空機発着回数が20,874回(19年同月比99%)となり、コロナ禍前とほぼ同水準まで回復しました。
【旅客便の動向】
●航空旅客数全体は342万人(19年同月比96%)となり、10月として3番目に高い水準となりました。
●国際線旅客数は280万人(19年同月比94%)で、そのうち外国人旅客数は過去最高の195万人(19年同月比129%)を記録しました。
国際線旅客便発着回数は、引き続き近距離アジア路線が好調に推移しており、13,813回(19年同月比95%)となりました。
●国内線旅客数は62.4万人(19年同月比105%)で、10月として2番目に高い水準です。今年5月以来5カ月ぶりにコロナ禍前を上回る水準となりました。
発着回数は3,814回(19年同月比92%)となっています。
【貨物便の動向】
●国際線貨物便発着回数は2,552回(前年同月比104%、19年同月比127%)となり、前年同月の実績を上回りました。
●国際航空貨物量は17.2万トン(前年同月比107%、19年同月比99%)となっており、 7カ月連続で前年同月を上回りました。



すべての画像
