母乳栄養児の腸内におけるビフィズス菌コミュニティー形成にはヒトミルクオリゴ糖利用能力だけでなく「到達順序」が大きな影響を及ぼす
-ヒトミルクオリゴ糖利用能力の低いビフィズス菌B. breveがコミュニティーで優勢となる仕組み-~科学雑誌『The ISME Journal』誌掲載~
森永乳業では、長年にわたり乳児の腸内にすんでいるビフィズス菌の基礎研究を行っております。このたび、京都大学の片山高嶺教授およびジョージア工科大学(米国)、サンフォードバーナムプレビス医療研究機関(米国)、新潟大学、滋賀県立大学、京都女子大学、帯広畜産大学、コーク大学(アイルランド)との共同研究により、母乳栄養児※1の腸内に多くすむビフィズス菌4種(乳児型ビフィズス菌;B. bifidum、B. longum subsp. infantis (以下B. infantis)、B. longum subsp. longum (以下B. longum)、B. breve)※2のコミュニティー形成について、以下の点が明らかとなりましたので報告いたします。
PDF版はこちら
https://prtimes.jp/a/?f=d21580-20220726-e28b493a5c87a79d7f0e81d535779cba.pdf
①ヒトミルクオリゴ糖(以下、HMO※3)を糖源としたHMO培地にて、2種のビフィズス菌を時間差で培養した。HMOの利用能力が高いB. bifidumおよびB. infantisを先に添加した場合、2菌種とも高い占有率を維持した。これは先に添加された菌種がエサであるHMOの大半を利用し、後から添加されたその他の菌種のエサが不十分な状態になったためと考えられる。
②B. breveは利用できるHMOが限定的であるにも関わらず、B. bifidum、B. infantisと同様、HMO培地中に先に添加すると高い占有率を維持し、ビフィズス菌4種を混合して培養した場合も最優勢となった。
③母乳栄養児の腸内細菌叢データを再解析した結果、出生直後の腸内でB. breveが検出された場合、4か月後にB. breveが優勢になりやすいことが分かった。よって②は実際の生体内でも起きている現象であると推察された。
④B. breveは、B. bifidum、B. infantisの2種がHMOを利用する過程で放出するフコース※4を利用することで高い占有率を維持すると示唆された。
本研究成果から、乳児型ビフィズス菌の腸内への到達順序とHMOの利用能力が最終的なビフィズス菌コニュニティー形成に大きく影響することが明らかとなりました。この結果は、生後間もない乳児の腸内に定着する細菌が、その後の腸内細菌叢の形成に大きな影響を与えることを示唆していると考えられます。なお、本研究成果※5は、科学雑誌「The ISME Journal」に 2022年 6月29日に掲載されました。
1.研究背景
ビフィズス菌は乳児の腸内における主要な細菌です。私たちはこれまでの研究において、母乳中のHMOがビフィズス菌を選択的に増殖させる因子(ビフィズス因子)として機能することを明らかにしてきました。このことから欧米を中心として育児用ミルクへのHMO添加が始まっています。ビフィズス菌は菌種や菌株によってHMOの利用戦略や利用能力が異なっており、どのような場合に特定のビフィズス菌が優勢となるのかについては不明な点が多く残されていました。特に、B. breveは利用できるHMOが限定的であるにも関わらず、多くの母乳栄養児の腸内において優勢となることから、そのメカニズムの解明が期待されていました。今回、さまざまなHMO利用戦略をとる代表的な乳児型ビフィズス菌4種 (B. bifidum, B. infantis, B. longum, B. breve)を用いて、乳児期における腸内細菌叢の形成過程について検討しました。
2.研究内容
◆研究方法と結果
4種の乳児型ビフィズス菌のHMO利用能力を評価するために、それぞれ単独の培養実験を行いました。4種すべてのビフィズス菌が利用できるラクトース(乳糖)培地ではそれぞれよく増殖したのに対し(図1、破線)、母乳から精製したHMOを糖源として含むHMO培地ではB. bifidumとB. infantisは高い増殖を、B. longumは中程度の増殖を示しましたが、B. breveはほとんど増殖が認められませんでした(図1、実線)。培養後に残った培地中のHMO(代表的な6種)濃度とゲノム情報から、研究に用いたB. bifidum、B. infantisは調査した全てのHMOを利用できる一方で、B. longumは一部のHMOが利用できず、B. breveは利用できるHMOが限定的であることが分かりました(表1)。
図1. 乳児型ビフィズス菌4種を、HMO培地またはラクトース(対照)で単独培養した場合の増殖曲線(濁度)
濁度が高いことは、それぞれのビフィズス菌が増殖したことを示す。
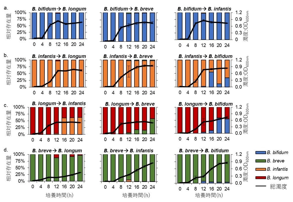
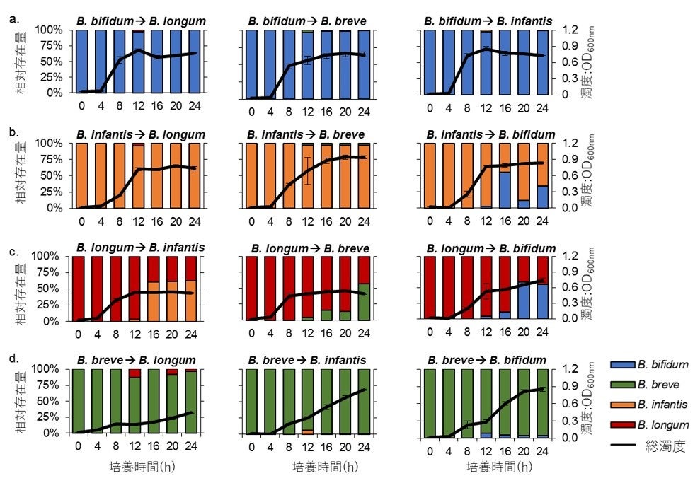
①HMO※3を糖源とした培地(HMO培地)にて、2種のビフィズス菌を時間差で培養した。HMOの利用能力が高いB. bifidumおよびB. infantisを先に添加した場合、2菌種とも高い占有率を維持した。これは先に添加された菌種がエサであるHMOの大半を利用し、後から添加されたその他の菌種のエサが不十分な状態になったためと考えられる。
ビフィズス菌種間の占有率に腸管への到達順序が影響するかを調べるために、4種のビフィズス菌のうち2種を組み合わせてHMO培地で培養実験を行いました。実験では、1種目を添加した12時間後に2種目を添加し、24時間培養しました。
B. bifidumとB. infantisは先に添加した場合、全ての組み合わせで高い占有率を維持しましたが、これは他の菌種を添加する前にエサとなるHMOの大半を利用し、後から添加された菌種の利用できるHMOが不十分な状態になったためだと考えられます(図2、a,b)。
②B. breveは利用できるHMOが限定的であるにも関わらず、B. bifidum、B. infantisと同様、HMO培地中に先に添加すると高い占有率を維持し、ビフィズス菌4種を混合して培養した場合も最優勢となった。
B. breveは単独培養の場合では、HMO培地でほとんど増殖しませんでしたが(図1)、B. bifidum、B. infantisを後から添加した場合は増殖がみられ、高い占有率を維持しました(図2、d)。ビフィズス菌4種全てを同時にHMO培地へ添加した場合でも、HMO利用能力では他の3種に劣る(表1)にもかかわらず、B. breveが最優勢となりました(図3)。また、4種のビフィズス菌の添加順序を様々に変化させた場合においても、B. breveがコミュニティー内に早い段階で添加された場合には高い占有率を獲得することが分かりました。
図2. 乳児型ビフィズス菌2種を順に添加して培養した際の各菌種の相対存在量と増殖曲線(濁度)
a. B. bifidumを1番目に添加した場合 b. B. infantisを1番目に添加した場合
c. B. longumを1番目に添加した場合 d. B. breveを1番目に添加した場合
図3. 乳児型ビフィズス菌4種を同時に添加した際の相対存在量と増殖曲線(濁度)
③母乳栄養児の腸内細菌叢データを再解析した結果、出生直後の腸内でB. breveが検出された場合、4か月後にB. breveが優勢になりやすいことが分かった。よって②は実際の生体内でも起きている現象であると推察された。
B. breveが優勢となる過程が、実際の母乳栄養児の腸内でも起こっているかを確認するために、過去に他グループによって報告された73名の母乳栄養児の腸内細菌叢を追跡調査したデータ※6を再解析しました。その結果、出生直後のB. breveの存在の有無が4か月後のビフィズス菌コミュニティー形成に影響していることが分かりました。出生直後にB. breveが検出された場合、検出されなかった場合と比べて、生後4か月時にB. breveが高い占有率になりやすいことが確認されました。このような現象は、他のビフィズス菌種では確認されませんでした。
④B. breveは、B. bifidum、B. infantisの2種がHMOを利用する過程で放出するフコース※4を利用することで高い占有率を維持すると示唆された。
他のビフィズス菌種が優勢であった場合と異なり、B. breveが優勢になった培地ではHMOの構成糖であるフコースがほとんど消費されていました。フコースはB. bifidumやB. infantisがHMOを利用する過程で細胞外に放出されることが知られています。そこで、フコースの利用能力がB. breveの高い占有率に寄与しているとの仮説を検証するため、フコースの取り込みに必要な遺伝子fucPを変異させたB. breve株(ΔfucP株)を用いて、HMO培地でビフィズス菌4種混合培養を24時間行いました。その結果、変異を加えていないB. breve 野生株に比べΔfucP株ではB. breveの相対存在量が大幅に減少しました(図4)。また、培地中のフコース量を測定したところ、B. breve 野生株を含むビフィズス菌4種の培地ではフコースが枯渇していたのに対して、ΔfucP株を添加した場合はフコースが蓄積していたことからも(図5)、フコースの利用能力がB. breveのビフィズス菌コミュニティーにおける高い占有率に強く寄与していることが示唆されました。
図 4. 乳児型ビフィズス菌4種を同時添加し
24時間培養した後の相対存在量
図5. 培地のフコースの存在量
3.まとめ
今回の研究では、ビフィズス菌の乳児の腸内への到着順序とHMOの利用能力が最終的なコミュニティー形成に大きく影響することと、利用可能なHMOの種類が低少ないB. breveが母乳栄養児の腸内で優勢となるメカニズムの一端を明らかにしました。
今後も森永乳業では、乳児の腸内細菌叢形成のメカニズムを明らかにし、乳児の健康に貢献できる正しい情報と優れた素材を発信できるよう、努めてまいります。
<参考>
※1 母乳栄養児
本研究では、完全母乳栄養で育てられた乳児と、母乳と育児用ミルクの混合栄養で育てられた乳児を含む。
※2 ビフィズス菌4種(乳児型ビフィズス菌;B. bifidum、B. longum subsp. infantis、B. longum subsp. longum、B. breve)
本試験では、B. bifidum JCM 1254株, B. longum subsp. infantis ATCC 15697株, B. longum subsp. longum MCC10007株, B. breve UCC2003株を使用した。
※3 ヒトミルクオリゴ糖(Human Milk Oligosaccharide)
ヒトの母乳のみに高濃度で含まれているさまざまなオリゴ糖の総称。表1に示した6種が代表的なHMOである。乳児自身の消化酵素では分解されないため腸まで届き、ビフィズス菌などの特定の腸内細菌のエサとなる。
※4 フコース
HMOの分子を構成する単糖の1種。
※5 論文タイトル・著者
Priority effects shape the structure of infant-type Bifidobacterium communities on human milk oligosaccharides
Miriam N. Ojima1*, Lin Jiang2, Aleksandr A. Arzamasov3, Keisuke Yoshida4, Toshitaka Odamaki1,4, Jinzhong Xiao1,4, Aruto Nakajima1, Motomitsu Kitaoka5, Junko Hirose6,7, Tadasu Urashima8, Toshihiko Katoh1, Aina Gotoh1, Douwe van Sinderen9, Dmitry A. Rodionov3, Andrei L. Osterman3, Mikiyasu Sakanaka1, and Takane Katayama1*
1 Graduate School of Biostudies, Kyoto University, Kyoto, Japan
2 School of Biological Sciences, Georgia Institute of Technology, Atlanta, GA, USA
3 Sanford Burnham Prebys Medical Discovery Institute, La Jolla, CA, USA
4 Next Generation Science Institute, Morinaga Milk Industry Co., Ltd., Kanagawa, Japan
5 Faculty of Agriculture, Niigata University, Niigata, Japan
6 School of Human Cultures, The University of Shiga Prefecture, Hikone, Shiga, Japan
7 Present address: Department of Food and Nutrition, Kyoto Women’s University, Kyoto, Japan
8 Department of Food and Life Science, Obihiro University of Agriculture and Veterinary Medicine, Obihiro, Hokkaido, Japan
9 APC Microbiome Ireland and School of Microbiology, Bioscience Institute, National University of Ireland, Cork, Ireland
※6 Bäckhed, F. et al.,Dynamics and stabilization of the human gut microbiome during the first year of 853 life. Cell Host Microbe, 17, 690–703 (2015).
https://prtimes.jp/a/?f=d21580-20220726-e28b493a5c87a79d7f0e81d535779cba.pdf
①ヒトミルクオリゴ糖(以下、HMO※3)を糖源としたHMO培地にて、2種のビフィズス菌を時間差で培養した。HMOの利用能力が高いB. bifidumおよびB. infantisを先に添加した場合、2菌種とも高い占有率を維持した。これは先に添加された菌種がエサであるHMOの大半を利用し、後から添加されたその他の菌種のエサが不十分な状態になったためと考えられる。
②B. breveは利用できるHMOが限定的であるにも関わらず、B. bifidum、B. infantisと同様、HMO培地中に先に添加すると高い占有率を維持し、ビフィズス菌4種を混合して培養した場合も最優勢となった。
③母乳栄養児の腸内細菌叢データを再解析した結果、出生直後の腸内でB. breveが検出された場合、4か月後にB. breveが優勢になりやすいことが分かった。よって②は実際の生体内でも起きている現象であると推察された。
④B. breveは、B. bifidum、B. infantisの2種がHMOを利用する過程で放出するフコース※4を利用することで高い占有率を維持すると示唆された。
本研究成果から、乳児型ビフィズス菌の腸内への到達順序とHMOの利用能力が最終的なビフィズス菌コニュニティー形成に大きく影響することが明らかとなりました。この結果は、生後間もない乳児の腸内に定着する細菌が、その後の腸内細菌叢の形成に大きな影響を与えることを示唆していると考えられます。なお、本研究成果※5は、科学雑誌「The ISME Journal」に 2022年 6月29日に掲載されました。
1.研究背景
ビフィズス菌は乳児の腸内における主要な細菌です。私たちはこれまでの研究において、母乳中のHMOがビフィズス菌を選択的に増殖させる因子(ビフィズス因子)として機能することを明らかにしてきました。このことから欧米を中心として育児用ミルクへのHMO添加が始まっています。ビフィズス菌は菌種や菌株によってHMOの利用戦略や利用能力が異なっており、どのような場合に特定のビフィズス菌が優勢となるのかについては不明な点が多く残されていました。特に、B. breveは利用できるHMOが限定的であるにも関わらず、多くの母乳栄養児の腸内において優勢となることから、そのメカニズムの解明が期待されていました。今回、さまざまなHMO利用戦略をとる代表的な乳児型ビフィズス菌4種 (B. bifidum, B. infantis, B. longum, B. breve)を用いて、乳児期における腸内細菌叢の形成過程について検討しました。
2.研究内容
◆研究方法と結果
4種の乳児型ビフィズス菌のHMO利用能力を評価するために、それぞれ単独の培養実験を行いました。4種すべてのビフィズス菌が利用できるラクトース(乳糖)培地ではそれぞれよく増殖したのに対し(図1、破線)、母乳から精製したHMOを糖源として含むHMO培地ではB. bifidumとB. infantisは高い増殖を、B. longumは中程度の増殖を示しましたが、B. breveはほとんど増殖が認められませんでした(図1、実線)。培養後に残った培地中のHMO(代表的な6種)濃度とゲノム情報から、研究に用いたB. bifidum、B. infantisは調査した全てのHMOを利用できる一方で、B. longumは一部のHMOが利用できず、B. breveは利用できるHMOが限定的であることが分かりました(表1)。

図1. 乳児型ビフィズス菌4種を、HMO培地またはラクトース(対照)で単独培養した場合の増殖曲線(濁度)
濁度が高いことは、それぞれのビフィズス菌が増殖したことを示す。

①HMO※3を糖源とした培地(HMO培地)にて、2種のビフィズス菌を時間差で培養した。HMOの利用能力が高いB. bifidumおよびB. infantisを先に添加した場合、2菌種とも高い占有率を維持した。これは先に添加された菌種がエサであるHMOの大半を利用し、後から添加されたその他の菌種のエサが不十分な状態になったためと考えられる。
ビフィズス菌種間の占有率に腸管への到達順序が影響するかを調べるために、4種のビフィズス菌のうち2種を組み合わせてHMO培地で培養実験を行いました。実験では、1種目を添加した12時間後に2種目を添加し、24時間培養しました。
B. bifidumとB. infantisは先に添加した場合、全ての組み合わせで高い占有率を維持しましたが、これは他の菌種を添加する前にエサとなるHMOの大半を利用し、後から添加された菌種の利用できるHMOが不十分な状態になったためだと考えられます(図2、a,b)。
②B. breveは利用できるHMOが限定的であるにも関わらず、B. bifidum、B. infantisと同様、HMO培地中に先に添加すると高い占有率を維持し、ビフィズス菌4種を混合して培養した場合も最優勢となった。
B. breveは単独培養の場合では、HMO培地でほとんど増殖しませんでしたが(図1)、B. bifidum、B. infantisを後から添加した場合は増殖がみられ、高い占有率を維持しました(図2、d)。ビフィズス菌4種全てを同時にHMO培地へ添加した場合でも、HMO利用能力では他の3種に劣る(表1)にもかかわらず、B. breveが最優勢となりました(図3)。また、4種のビフィズス菌の添加順序を様々に変化させた場合においても、B. breveがコミュニティー内に早い段階で添加された場合には高い占有率を獲得することが分かりました。

図2. 乳児型ビフィズス菌2種を順に添加して培養した際の各菌種の相対存在量と増殖曲線(濁度)
a. B. bifidumを1番目に添加した場合 b. B. infantisを1番目に添加した場合
c. B. longumを1番目に添加した場合 d. B. breveを1番目に添加した場合

図3. 乳児型ビフィズス菌4種を同時に添加した際の相対存在量と増殖曲線(濁度)
③母乳栄養児の腸内細菌叢データを再解析した結果、出生直後の腸内でB. breveが検出された場合、4か月後にB. breveが優勢になりやすいことが分かった。よって②は実際の生体内でも起きている現象であると推察された。
B. breveが優勢となる過程が、実際の母乳栄養児の腸内でも起こっているかを確認するために、過去に他グループによって報告された73名の母乳栄養児の腸内細菌叢を追跡調査したデータ※6を再解析しました。その結果、出生直後のB. breveの存在の有無が4か月後のビフィズス菌コミュニティー形成に影響していることが分かりました。出生直後にB. breveが検出された場合、検出されなかった場合と比べて、生後4か月時にB. breveが高い占有率になりやすいことが確認されました。このような現象は、他のビフィズス菌種では確認されませんでした。
④B. breveは、B. bifidum、B. infantisの2種がHMOを利用する過程で放出するフコース※4を利用することで高い占有率を維持すると示唆された。
他のビフィズス菌種が優勢であった場合と異なり、B. breveが優勢になった培地ではHMOの構成糖であるフコースがほとんど消費されていました。フコースはB. bifidumやB. infantisがHMOを利用する過程で細胞外に放出されることが知られています。そこで、フコースの利用能力がB. breveの高い占有率に寄与しているとの仮説を検証するため、フコースの取り込みに必要な遺伝子fucPを変異させたB. breve株(ΔfucP株)を用いて、HMO培地でビフィズス菌4種混合培養を24時間行いました。その結果、変異を加えていないB. breve 野生株に比べΔfucP株ではB. breveの相対存在量が大幅に減少しました(図4)。また、培地中のフコース量を測定したところ、B. breve 野生株を含むビフィズス菌4種の培地ではフコースが枯渇していたのに対して、ΔfucP株を添加した場合はフコースが蓄積していたことからも(図5)、フコースの利用能力がB. breveのビフィズス菌コミュニティーにおける高い占有率に強く寄与していることが示唆されました。

図 4. 乳児型ビフィズス菌4種を同時添加し
24時間培養した後の相対存在量

図5. 培地のフコースの存在量
3.まとめ
今回の研究では、ビフィズス菌の乳児の腸内への到着順序とHMOの利用能力が最終的なコミュニティー形成に大きく影響することと、利用可能なHMOの種類が低少ないB. breveが母乳栄養児の腸内で優勢となるメカニズムの一端を明らかにしました。
今後も森永乳業では、乳児の腸内細菌叢形成のメカニズムを明らかにし、乳児の健康に貢献できる正しい情報と優れた素材を発信できるよう、努めてまいります。
<参考>
※1 母乳栄養児
本研究では、完全母乳栄養で育てられた乳児と、母乳と育児用ミルクの混合栄養で育てられた乳児を含む。
※2 ビフィズス菌4種(乳児型ビフィズス菌;B. bifidum、B. longum subsp. infantis、B. longum subsp. longum、B. breve)
本試験では、B. bifidum JCM 1254株, B. longum subsp. infantis ATCC 15697株, B. longum subsp. longum MCC10007株, B. breve UCC2003株を使用した。
※3 ヒトミルクオリゴ糖(Human Milk Oligosaccharide)
ヒトの母乳のみに高濃度で含まれているさまざまなオリゴ糖の総称。表1に示した6種が代表的なHMOである。乳児自身の消化酵素では分解されないため腸まで届き、ビフィズス菌などの特定の腸内細菌のエサとなる。
※4 フコース
HMOの分子を構成する単糖の1種。
※5 論文タイトル・著者
Priority effects shape the structure of infant-type Bifidobacterium communities on human milk oligosaccharides
Miriam N. Ojima1*, Lin Jiang2, Aleksandr A. Arzamasov3, Keisuke Yoshida4, Toshitaka Odamaki1,4, Jinzhong Xiao1,4, Aruto Nakajima1, Motomitsu Kitaoka5, Junko Hirose6,7, Tadasu Urashima8, Toshihiko Katoh1, Aina Gotoh1, Douwe van Sinderen9, Dmitry A. Rodionov3, Andrei L. Osterman3, Mikiyasu Sakanaka1, and Takane Katayama1*
1 Graduate School of Biostudies, Kyoto University, Kyoto, Japan
2 School of Biological Sciences, Georgia Institute of Technology, Atlanta, GA, USA
3 Sanford Burnham Prebys Medical Discovery Institute, La Jolla, CA, USA
4 Next Generation Science Institute, Morinaga Milk Industry Co., Ltd., Kanagawa, Japan
5 Faculty of Agriculture, Niigata University, Niigata, Japan
6 School of Human Cultures, The University of Shiga Prefecture, Hikone, Shiga, Japan
7 Present address: Department of Food and Nutrition, Kyoto Women’s University, Kyoto, Japan
8 Department of Food and Life Science, Obihiro University of Agriculture and Veterinary Medicine, Obihiro, Hokkaido, Japan
9 APC Microbiome Ireland and School of Microbiology, Bioscience Institute, National University of Ireland, Cork, Ireland
※6 Bäckhed, F. et al.,Dynamics and stabilization of the human gut microbiome during the first year of 853 life. Cell Host Microbe, 17, 690–703 (2015).
このプレスリリースには、メディア関係者向けの情報があります
メディアユーザーログイン既に登録済みの方はこちら
メディアユーザー登録を行うと、企業担当者の連絡先や、イベント・記者会見の情報など様々な特記情報を閲覧できます。※内容はプレスリリースにより異なります。
すべての画像
