いい部屋ネット「自治体ブランドランキング2024<全国版>」(街の住みここちランキング特別集計)発表
「ブランド偏差値」は、イメージDI(「良いイメージがある」率-「悪いイメージがある」率)✕認知率にて算出しています。

総評
■ブランドの定義
マーケティング論の第一人者として日本でも有名な米国ノースウェスタン大学のフィリップ・コトラー教授は、「ブランドとは、個別の売り手または売り手集団の財やサービスを識別させ、競合する売り手の製品やサービスと区別するための名称、言葉、記号、シンボル、デザイン、あるいはこれらの組み合わせ」と定義しています。
本調査では、全国約18万人から一人あたり10カ所の回答を得ました。居住地以外の全国の各自治体に対するイメージDI(Diffusion Index:「良いイメージがある」という回答比率から「悪いイメージがある」という回答比率を引いたもの)と、認知率を掛け合わせることでランキングを作成しています。そのためイメージが良くても認知度が低い自治体の順位は低くなります。
■ランキング上位には有名観光地が
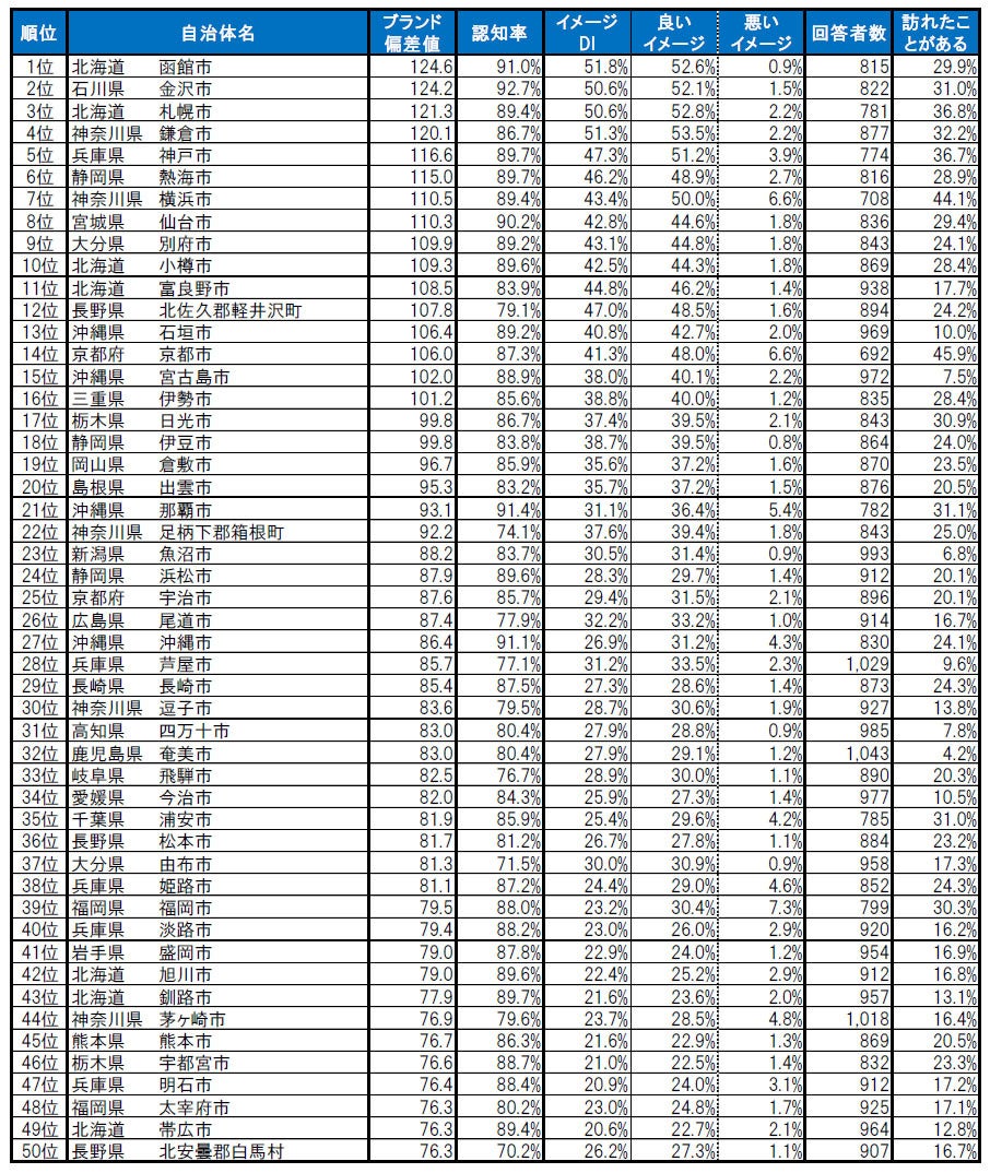
1位は北海道函館市、2位は石川県金沢市、3位は北海道札幌市、4位は神奈川県鎌倉市、5位は兵庫県神戸市など観光地として有名な自治体が上位にランクインする結果となっています。トップ10の自治体に対する認知率は90%前後と非常に高く、イメージDIは40~50%と非常に高くなっています。
一方で、100位以下の自治体でも認知率が90%近くある自治体もありますが、イメージDIが30%を超える自治体はありません。また、ランキングとして公表はしていませんが、イメージDIがマイナスの自治体もごく少数ですが存在します。
■観光地でない自治体も健闘
ランキング50位以内には、いわゆる観光地として知名度が高いわけではなさそうな自治体も、特産物での知名度の高さや地域特性を背景にランクインしていると考えられます。例えば、23位の新潟県魚沼市(魚沼コシヒカリ)、25位の京都府宇治市(宇治茶)、28位の兵庫県芦屋市(高級住宅地としての知名度)、34位の愛媛県今治市(今治タオル)、47位の兵庫県明石市(独自の子育て支援策での知名度)といった自治体です。
自治体ブランドランキング2024<全国版>1位~50位

自治体ブランドランキング2024<全国版>51位~100位

自治体ブランドランキング2024<全国版>101位~150位

自治体ブランドランキング2024<全国版>151位~200位

自治体ブランドランキング2024<全国版>201位~250位

自治体ブランドランキング2024<全国版>251位~300位

調査概要
◇調査方法
全国47都道府県(対象自治体1,890)居住の20歳以上の男女、2024年(183,727名)を対象に集計。
[男女比] 男性51.6%:女性48.4%
[未既婚] 未婚38.5%:既婚61.5% [子ども] なし42.7%:あり57.3%
[世代比] 20歳代11.3%、30歳代19.3%、40歳代22.9%、50歳代24.5%、60歳代16.0%、70歳代6.0%
◇調査期間
2024年2月21日(水)~3月14日(木):2024年調査(回答者数:183,727名)
◇調査体制
調査企画・設問設計・分析:大東建託賃貸未来研究所 宗 健(フェロー)、調査票配布回収:株式会社マクロミル
◇回答方法 全国の自治体(回答者の居住地を除く)の中からランダムに表示し、①「住んだことがある」②「住んだことはないが訪れたことがある」③「良いイメージがある」④「悪いイメージがある」⑤「聞いたことがある程度で特にイメージはない」⑥「名前も聞いたことがない」の6つの選択肢から当てはまるものを回答してもらい、割合を算出しています。
ブランド偏差値は、イメージDI(「良いイメージがある」率-「悪いイメージがある」率)✕認知率にて集計しています。
•本リリースの一部また全部を、個人的な利用を目的とする印字・保存等、その他著作権法で認められる場合を除き、著作物等を著作権者等の事前の許諾なしに、複製、公衆送信、頒布、改変、他のウェブサイトに転載するなどの行為を禁止します。
•新聞・雑誌、テレビ・ラジオ等の報道関係者におかれましては、本リリースを掲載・報道または引用する場合には、「いい部屋ネット 自治体ブランドランキング2024<全国版>」と出所の表記をお願いします。
•学術研究目的の場合、本調査個票データについて提供できる可能性がありますので個別にお問い合わせください。
•「住みここちランキング」WEBサイトでは、「住みここち」と街づくりに関する学術論文や調査データの解説記事を掲載しています。詳細につきましては、WEBサイトをご覧ください。
▼全国版・各エリア版・各都道府県版も発表しています。詳細はこちらをご覧ください。
https://www.eheya.net/sumicoco/
▼プレスリリースはこちら
https://www.kentaku.co.jp/corporate/pr/info/2024/sumicoco_brand2024.html
このプレスリリースには、メディア関係者向けの情報があります
メディアユーザー登録を行うと、企業担当者の連絡先や、イベント・記者会見の情報など様々な特記情報を閲覧できます。※内容はプレスリリースにより異なります。
すべての画像
