楽しく歌って、生活を刺激する新感覚カラオケ!JOYSOUNDで配信中の「ガンマ波カラオケ」歌唱中に最も高いガンマ波の誘発効果を確認

JOYSOUNDを展開する株式会社エクシング(本社:名古屋市瑞穂区、代表取締役社長:水谷 靖)は、VIE株式会社(本社:神奈川県鎌倉市大町、社長:今村 泰彦)と共同で、視覚や意識に関連付けられている脳波のひとつである「ガンマ波」をカラオケに融合した「ガンマ波カラオケ(※商標・特許出願中)」を開発し、実証実験を実施しました。これにより、通常のカラオケ曲の歌唱中、ガンマ波音楽を視聴のみ行った時よりも、「ガンマ波カラオケ」の歌唱中に、ガンマ波が最も高く誘発される結果を確認いたしました。
■ガンマ波とは
ヒトが記憶や思考をしている時に現れる約40Hzの脳波が「ガンマ波」です。最新の研究で、ガンマ波の音を聴かせることで、マウスの認知機能が改善した研究結果(※1)や、ヒトを対象とした臨床試験において認知機能悪化の抑制や脳萎縮の抑制を示唆する研究結果(※2)が得られています。
(※1) Multi-sensory Gamma Stimulation Ameliorates Alzheimer's-Associated Pathology and Improves Cognition
(※1) Gamma frequency entrainment attenuates amyloid load and modifies microglia
(※2) Gamma frequency sensory stimulation in mild probable Alzheimer's dementia patients: Results of feasibility and pilot studies
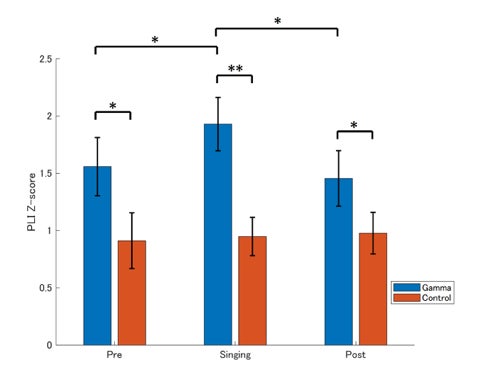
実証実験の内容
19名の被験者を対象に、Gamma(ガンマ刺激を含むカラオケ曲)とControl(通常のカラオケ曲)の2条件で、「歌唱前に曲を視聴する」「曲を歌唱する」「歌唱後に曲を視聴する」の3回、脳波を測定しました。

「ガンマ波カラオケ」の視聴中、歌唱中ともに、ガンマ波が有意に高く、特に歌唱中に最も高くなりました。一方通常のカラオケ曲では、ガンマ波の変調はみられませんでした。

結果の考察
以上の結果により、ガンマ波刺激と、歌唱による神経可塑性の促進効果や認知能力向上効果(*3)を組み合わせることで、ガンマ波の誘発により高い影響を与える可能性が示唆されます。
(*3)Olszewska, Alicja M., et al. "How musical training shapes the adult brain: Predispositions and neuroplasticity." Frontiers in Neuroscience 15 (2021): 630829.
当社は、楽しく歌って、生活を刺激する「ガンマ波カラオケ」の展開を通じて、現代の高齢化社会の課題に寄り添う、音楽エンターテインメントの提供を目指してまいります。
■VIE社によるガンマ波の取り組み
https://vie.style/blogs/magazine/gamma-music
== 「ガンマ波カラオケ」 配信情報 ==
◆対象機種
JOYSOUND X1、JOYSOUND MAX GO、JOYSOUND MAX2、JOYSOUND MAX、JOYSOUND 響Ⅱ、JOYSOUND 響、JOYSOUND FESTA、JOYSOUND FESTA2、健康王国DX、JOYSOUND WAGON2
※ただし、機種及び設置環境により対応していない場合がございます。
◆配信曲

このプレスリリースには、メディア関係者向けの情報があります
メディアユーザー登録を行うと、企業担当者の連絡先や、イベント・記者会見の情報など様々な特記情報を閲覧できます。※内容はプレスリリースにより異なります。
すべての画像
