AIを搭載した逆合成ソフト『ChemAIRS』の提供開始
AIによる逆合成解析で、低分子新薬発見のプロセスを加速させることが可能となります。最も効率的かつ実現性の高い反応経路をAIが提示します。迅速な実験系のデザインと生産コスト管理を実現します。

2024年8月、株式会社アクセラレート・バイオ(本社:東京都中央区、代表取締役:劉順俊、以下「当社」)は、Chemical.AI社との業務提携により逆合成ソフト『ChemAIRS』提供を開始したことをお知らせいたします。
国内お客様向けに、2週間の無料試用版をご用意しております。
Chemical.AI社について
2018年の創業以来、AIおよび自動化技術を活用した化学合成の革新に取り組んでいます。Chemical.AIは、独自のレトロシンセシスアルゴリズム、豊富な化学データ、最先端のロボットラボ自動化技術を融合させ、化学合成の戦略、プロセス、生産性の向上を目指しています。
現在、100社以上の企業や研究機関と協力し、製薬、材料科学、バイオ医薬、化学工学など多岐にわたる分野で、最先端のケモインフォマティクスおよび自動化ソリューションを提供しています。
ChemAIRSについて
AI技術を搭載した逆合成解析プラットフォーム
ChemAIRSのデータベースには6000万以上の反応データが含まれ、最新のデータが継続的に収集されており、主要な研究論文や特許データをカバーしています。機械学習、専門ルール、経路探索アルゴリズムと組み合わせることで、逆合成経路設計を支援し、参照可能な複数の反応条件を提供します。ChemAIRSの使用により実験設計の効率と成功率が大幅に向上します。

ChemAIRS紹介動画
ChemAIRSの機能
-
逆合成解析
10年の合成経験を持つ専門家と同等の能力を有します。合成経路を迅速設計し、通常必要とされる経路開発の時間を大幅に短縮します。化学者はより研究活動に集中することができます。
-
合成可能性評価
ChemAIRSは経路や原料の入手可能性に対し、実際のラボでの合成ニーズに最適な経路を提案します。これにより、合成経路の実用性が向上し、実験成功率が高くなります。
-
条件検索
反応の構造式を入力すると、推奨される条件が表示され、ユーザーは反応の実現可能性やリスクについて検討し、適切な反応条件を選択することができます。
-
不純物予測
ChemAIRSは化学反応において生じる不純物を巧みに予測し、指定された分子量に基づいた不純物の予測と分析を提供します。予測はさらに同位体や構造などの情報によって精査されます。
-
プロセス化学
ChemAIRSはスケールアップに適したプロセス経路を推奨し、これらの経路に対する大規模合成のコストを計算します。合成プロセスにおける安全性とコスト効率の最適化を図ります。
-
順合成
ChemAIRSは、コア構造、合成経路、入手可能な原料に基づいて、合成可能な仮想分子ライブラリーを効率的に生成し、効果的なスクリーニングと計算化学のワークフローの効率化を促進します。

直観的で扱いやすいデザイン
SMILES、CAS番号で目的化合物を検索できます。あるいはChemical sketcherに直接構造式を入力することも可能です。
各反応の詳細条件と参考情報を確認可能。
反応系の根拠となる論文情報や、データベースについても確認できます。

応用実績







実例紹介
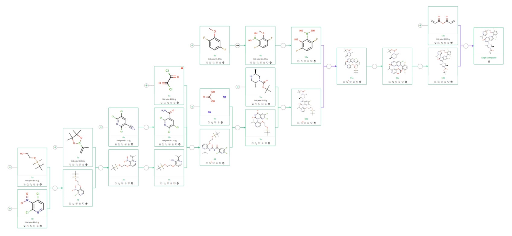
マクロ環化合物の報告された合成経路の予測
メルク社は、G12C変異型KRASタンパク質を選択的に阻害するヘテロアリール化合物を発見し、有用な治療アプローチを提供しています。今回は、ChemAIRSを使用してKRAS G12C変異型をターゲットとした小分子阻害剤の合成経路を探索しました。目的化合物データを入力した3分間で、ChemAIRSはマクロ環状分子の複数の合成経路を生成しました。その中の1つの反応経路(スキーム1)は、メルク社が最近報告した合成経路に密接に一致していました。

さらに、ChemAIRSは化合物11aの代替合成経路を提案しました。この新提案では、ホウ酸10から出発し、論文に記載されているカリウム(3,6-ジフルオロ-2-ヒドロキシフェニル)トリフルオロボレートによる3ステップ合成とは異なり、2ステップのプロセスを経て進行します。最終反応では、ChemAIRSが報告されているacryloyl chloride/DIPEAの組み合わせの代わりに、アクリル無水物とメチルモルホリンを使用する代替反応条件を提案しました。

お問い合わせ:chemical.AI@accelerate-bio.co.jp

ChemAIRSの試用版のお申し込みはこちら:
【Chemical.AI社】
会社名 Chemical.AI
設立日 2018年
このプレスリリースには、メディア関係者向けの情報があります
メディアユーザー登録を行うと、企業担当者の連絡先や、イベント・記者会見の情報など様々な特記情報を閲覧できます。※内容はプレスリリースにより異なります。
すべての画像
