新たな抗生物質の候補、タンザワ酸Bの初の人工合成に成功
~タンザワ酸類の合成や多剤耐性菌にも有効な抗菌薬の開発に期待~
【研究の要旨とポイント】
現在、薬剤耐性菌(*1)の出現が大きな社会問題となっており、新たな抗生物質の候補が求められています。
今回の研究では、天然由来ポリケチド(*2)で、抗菌活性を有するタンザワ酸Bの人工合成を達成し、その供給法を確立しました。
本研究は多剤耐性菌に対しても有効な抗生物質の候補創出に向けた一歩と言えます。
【研究の概要】
東京理科大学理学部第一部応用化学科の椎名勇教授、村田貴嗣助教らは天然の抗菌活性化合物タンザワ酸Bの世界初の人工合成に成功しました。
抗菌薬は耐性菌の出現と蔓延により、効果を示す薬が減少していきます。特にメチシリン耐性黄色ブドウ球菌は薬剤耐性菌として有名です。これに対して有効であると知られているのがバンコマイシン(*3)です。そしてそのバンコマイシンに対しても耐性を獲得した菌、バンコマイシン耐性黄色ブドウ球菌が生まれました。このように新たな抗菌薬が開発され広く用いられるようになっては耐性菌が生まれ、日々抗生物質と菌との戦いが繰り広げられています。このような背景から、既存の薬とは異なる作用機序を有する抗菌薬の開発が強く求められています。
タンザワ酸Bは、真菌の1種Penicillium citrinumの培養液から単離された天然化合物で、抗菌活性を有することが報告されています。また、近年では抗炎症作用をはじめとする多様な薬理活性が報告されており、注目を集めている化合物です。
タンザワ酸は現在までにタンザワ酸Bのほか、タンザワ酸Aからタンザワ酸Z1までの20種類以上の化合物が単離されており、同時に抗菌活性を含むさまざまな薬理活性が報告されています。
タンザワ酸Bはタンザワ酸類の中で、最も注目を浴びている化合物であり、多くのタンザワ酸と共通の母核を有していることから、タンザワ酸Bの人工合成法の確立はタンザワ酸全体の人工合成法の確立に繋がる重要な課題と言えます。
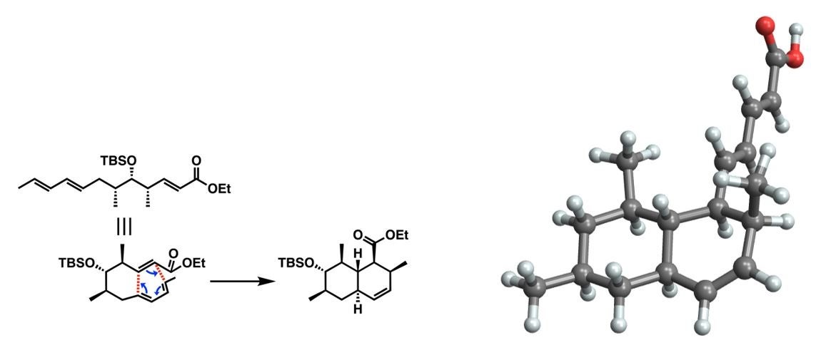
今回、椎名教授らの研究グループは、不斉アルキル化、不斉向山アルドール反応(*4)、分子内Diels–Alder反応(*5)を鍵工程としたタンザワ酸Bの全合成を達成しました。この際、タンザワ酸類が共通して有する母核の大量供給法も確立しました。これにより、タンザワ酸Bの継続的な供給が可能となり、タンザワ酸Bをリード化合物とした抗菌薬の開発に大きく貢献することが期待されます。また、タンザワ酸類の母核の合成法の確立により、今後その他のタンザワ酸類の全合成が網羅的に進むことも期待されます。
本研究成果は、2023年7月19日に国際学術誌「ACS Omega」にオンライン掲載されました。また、本研究は同誌のCover Artに選出されました。

図. タンザワ酸Bの合成スキーム(左)と分子模型(右)
【研究の背景】
細菌感染症は古くから人が戦ってきた感染症であり、それに対抗するために抗生物質と呼ばれる抗菌薬が開発されました。しかしながら、菌もこれに対抗し、薬剤耐性菌へと変化していきました。これまで効いていた抗菌薬が効かなくなった場合、感染症の治療が困難になるだけでなく、手術や抗がん剤治療時の免疫低下の際の感染予防まで難しくなります。そのため、新たな作用機序を有する抗菌薬や、薬剤耐性菌に対しても有効な抗菌薬の開発は常に求められています。
真菌の一種であるPenicillium citrinumの培養物から単離構造決定されたタンザワ酸Bは抗菌活性を示すことが報告されています。抗菌活性以外にも次々に薬理活性が見出され、タンザワ酸Bには大きな注目が寄せられていましたが、骨格構築法を含め合成研究の報告はこれまで一例もありませんでした。そのため、タンザワ酸類をリード化合物とする抗菌薬の開発研究は進んできませんでした。
そこで研究グループは、タンザワ酸Bの人工合成法の確立とそれを用いた広範な抗菌活性試験を目的に、本研究に着手しました。菌を培養することによって得られるタンザワ酸Bの量は広範な試験に用いるには少な過ぎて、さまざまな菌種に対しての効果を調べることができませんでした。本研究ではタンザワ酸Bを継続的に供給可能とする、分子内Diels–Alder反応を鍵工程とした共通母核の大量供給を伴う合成法を考案しました。
【研究結果の詳細】
タンザワ酸Bを代表とするタンザワ酸類は共通して多置換オクタリン骨格を有します。オクタリンに存在する立体選択性に関わる炭素は二重結合部分を含めて合計8個あります。そのため、目的とする立体化学を有する多置換オクタリンを合成するためには、28個=256個の化合物の中から1つだけを選択的に合成する技術が必要でした。
今回、研究グループはこれらの不斉炭素の立体制御を、不斉アルキル化、不斉向山アルドール反応、および分子内Diels–Alder反応によって達成しました。この手法により、立体化学が完全に制御された多置換オクタリン化合物をグラムスケールにて入手することに成功しています。このオクタリン化合物を用いて、タンザワ酸Bの全合成を達成しました。
今回の成果について椎名教授は、「タンザワ酸Bは上村大輔教授(静岡大学:当時)らが神奈川県丹沢山エリアで1997 年に発見した有機化合物です。発見から25年以上全合成がなされないままでしたが、今回我々は分子内Diels–Alder反応を活用することでこれを初めて達成しました。タンザワ酸の類縁体には抗菌活性を示すもの、抗ウイルス活性を示すものに加え、抗がん活性を示す化合物が知られており、我々の合成法を活用することで今後さまざまな医薬品のリード化合物が創出されるものと期待しています。」と述べています。
現在、東京理科大学ではタンザワ酸Bを含む多種多様な抗菌活性化合物の合成を進めています。合成された化合物は外部共同研究先によって評価され、抗菌活性の強さや多剤耐性菌への有効性について調査されています。本研究の成果は、タンザワ酸Bをリード化合物とした新規抗菌薬開発への一歩と言えます。
※本研究は、JST科学技術イノベーション創出に向けた大学フェローシップ創設事業JPMJFS2144の助成を受けて実施したものです。
【用語】
*1 薬剤耐性菌
特定の抗菌薬に対して耐性を持った菌。その菌に対してはその抗菌薬は効かない。
*2 ポリケチド
生合成によって酢酸、マロン酸単位が繰り返し連結されることによって合成される天然物の総称。
*3 バンコマイシン
ペニシリンなどの抗菌薬とは異なる作用機序で効果を示すため、メチシリン耐性黄色ブドウ球菌に対して有効性を示す。
*4 不斉向山アルドール反応
アルドールはβ-ヒドロキシケト化合物の総称。不斉向山アルドール反応は、酸を用いて立体化学を制御したアルドール反応。
*5 分子内Diels–Alder反応
分子内で2つの共役したπ結合と1つのπ結合同士が、2つのσ結合と1つのπ結合へと組み替わる反応。天然物にもよく見られる反応。
【論文情報】
雑誌名:ACS Omega
論文タイトル:First Total Synthesis of Tanzawaic Acid B
著者:Takatsugu Murata, Hisazumi Tsutsui, Takumi Yoshida, Hirokazu Kubota, Shintaro Hiraishi, Hiyo Natsukawa, Yuki Suzuki, Daiki Hiraga, Takahiro Mori, Yutaro Maekawa, Satoru Tateyama, Kiyotaka Toyoyama, Keiichi Ito, Kyohei Suzuki, Keita Yonekura, Natsumi Shibata, Teruyuki Sato, Yasutaka Tasaki, Takehiko Inohana, Atsuhiro Takano, Naoki Egashira, Masaki Honda, Yuma Umezaki, Isamu Shiina
DOI:10.1021/acsomega.3c03634
このプレスリリースには、メディア関係者向けの情報があります
メディアユーザー登録を行うと、企業担当者の連絡先や、イベント・記者会見の情報など様々な特記情報を閲覧できます。※内容はプレスリリースにより異なります。
すべての画像
