カラハリスイカのインフルエンザウイルス感染抑制作用は、含有する8-プレニルナリンゲニン等のポリフェノールによるものであることを示唆する研究成果を確認しました
 株式会社ユーグレナ(本社:東京都港区、代表取締役社長:出雲充)は、武庫川女子大学の伊勢川裕二教授との共同研究により、過去に報告したカラハリスイカ果汁のインフルエンザウイルス感染抑制作用※1が、含有する8-プレニルナリンゲニン等のポリフェノール※2によるものであることを示唆する研究成果を確認したことをお知らせいたします。なお、本研究成果は、2022年1月23日に米国の学術誌「Food Science & Nutrition オンライン版」(https://onlinelibrary.wiley.com/doi/full/10.1002/fsn3.2725)に掲載されました。
※1 2016年10月24日の当社ニュースリリースhttps://www.euglena.jp/news/n20161024/
※2 植物の色素や苦みの成分であり、さまざまな健康効果が知られています
※1 2016年10月24日の当社ニュースリリースhttps://www.euglena.jp/news/n20161024/
※2 植物の色素や苦みの成分であり、さまざまな健康効果が知られています
■研究の内容と結果
カラハリスイカ果汁には、8-プレニルナリンゲニン、アカセチン、ピノレジノールなどのポリフェノールが含まれていることが確認されました
液体クロマトグラフィー質量分析※3によって、カラハリスイカ果汁を測定したところ、0.53 ng/mLの8-プレニルナリンゲニン、0.86 ng/mLのアカセチン、80.17 ng / mLのピノレジノール、42.63 ng / mLのピノレジノールジグルコシドが含まれていることが分かりました。
※3 液体中の成分を固定相と移動相の相互作用の差を用いて分離し、質量検出器で検出する手法
8-プレニルナリンゲニン、アカセチン、ピノレジノールは、それぞれインフルエンザウイルス感染抑制活性を示し、特に、8-プレニルナリンゲニンで活性が高いことが確認されました
イヌの腎細胞にインフルエンザウイルス(A/H1N1/PR/8/34)を感染させ、8-プレニルナリンゲニン、アカセチン、ピノレジノール、ピノレジノールジグルコシドを含んだ培地、および含まない培地でそれぞれ培養しました。その結果、8-プレニルナリンゲニン、アカセチン、ピノレジノール、ピノレジノールジグルコシドをそれぞれ含んだ培地では、インフルエンザウイルスの感染が抑制されました。また、ウイルス粒子の複製を50%阻害するために必要な添加濃度(IC50値)は、それぞれ、5.5 µg/mL、9.6 µg/mL、123 µg/mL、55 µg/mLとなり、特に8-プレニルナリンゲニン(図1)で活性が高いことが分かりました。
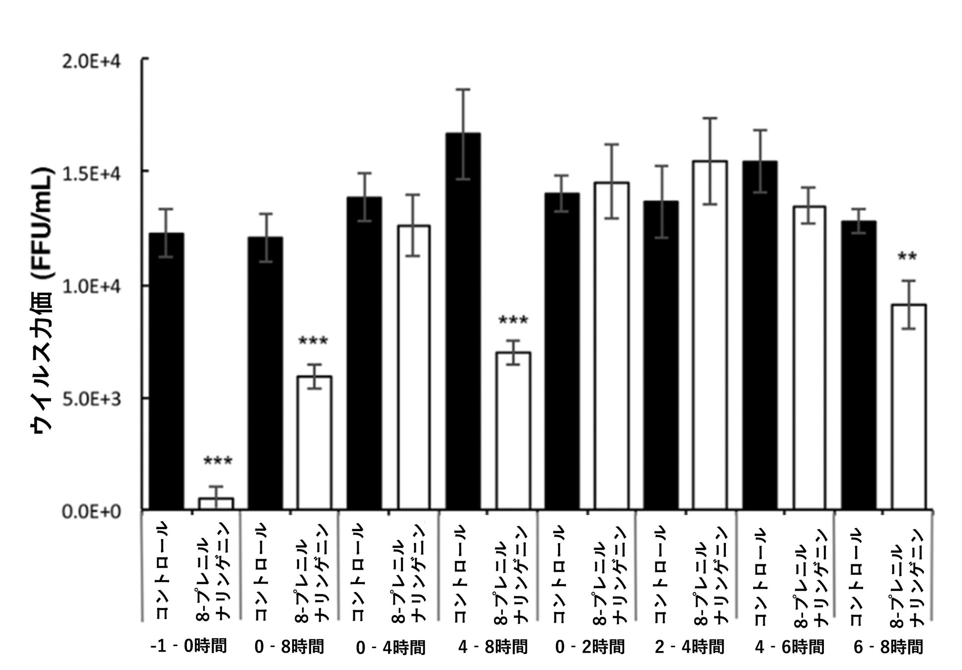
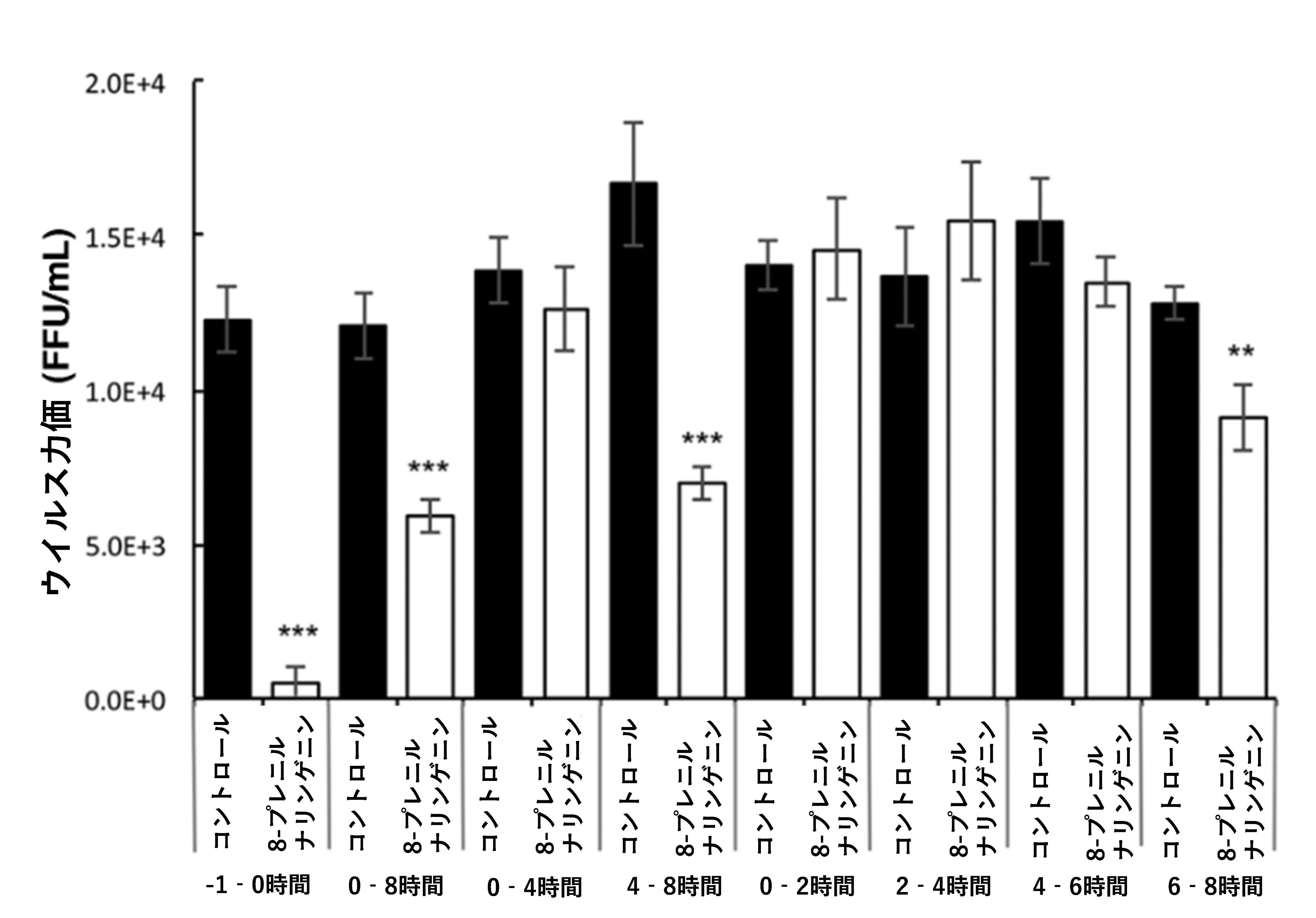
インフルエンザウイルスが感染する過程※4(図2)のうち、どの段階を抑制しているかを確認するための実験を行いました。
※4 一般的にウイルスは、細胞膜に吸着し、取り込まれた後、細胞質内でウイルス粒子からRNAを放出します。放出されたRNAは核内に移行し、複製および転写を行い、ウイルスタンパク質とウイルスゲノムが合成されます。そして、ウイルスの構成材料が揃うと、細胞膜近くで凝集し、細胞膜から遊離します。この1サイクルがインフルエンザウイルスにおいては8時間であることが分かっています
8-プレニルナリンゲニンの添加のタイミングを、ウイルス吸着時期(-1~0時間)、ウイルス粒子の複製にかかる1サイクル(8時間)、1サイクルを2つ(0~4時間、4~8時間)に区切った各時点、1サイクルを4つ(0~2時間、2~4時間、4~6時間、6~8時間)に区切った各時点とし、各時点におけるインフルエンザウイルスの感染の状況を測定しました。その結果、吸着時期における8-プレニルナリンゲニンの添加と、1サイクルのうちの後期における8-プレニルナリンゲニンの添加において、インフルエンザウイルス感染を有意に抑制したことが確認されました。この結果は、8-プレニルナリンゲニンの添加が、ウイルスの宿主細胞への吸着を阻害し、ウイルスのエンドサイトーシス※5に影響を与える可能性、およびウイルスタンパクの合成や凝集の段階を阻害する可能性を示しています(図3)。この結果は、過去の実験で確認されたカラハリスイカ果汁での実験結果※1とも一致した傾向であり、カラハリスイカ果汁によるインフルエンザ感染抑制活性の関与成分のひとつが8-プレニルナリンゲニンであることを裏付けていると考えられます。
※5 細胞が細胞外の物質を取り込む過程の1つ
黒い棒グラフは、コントロール細胞のウイルス収量を意味します
白い棒グラフは、8-プレニルナリンゲニンを添加された細胞のウイルス収量を意味します
ナリンゲニンはプレニル化することで、活性が約13倍高くなることが分かりました
これまでの研究において、ナリンゲニンもインフルエンザウイルス感染抑制活性を示すことが報告されていますが、今回の研究で測定されたナリンゲニンと8-プレニルナリンゲニンのIC50値は、それぞれ70 µg/mLと5.5 µg/mLであったことから、ナリンゲニンはプレニル化し8-プレニルナリンゲニンになることで、インフルエンザ感染抑制活性が約13倍高くなることが示唆されました。
今後も当社は、カラハリスイカ果汁の摂取等による機能性の解明を目指し、研究開発に取り組んでまいります。
<カラハリスイカについて>
カラハリスイカは、アフリカのカラハリ砂漠に自生する野生種スイカであり、スイカ本来の特徴に加え、過酷な砂漠環境ストレスから自らの細胞を守る能力と水分を保持する能力に優れています。そのため、アミノ酸の一種であるシトルリンなどの抗ストレス成分や保水に関わる成分を蓄えています。ユーグレナ社は2013年11月に植物ハイテック研究所を完全子会社化、カラハリスイカの研究を引き継ぎ、人々の健康増進への貢献を目指し、機能性解明に取り組んでいます。
<株式会社ユーグレナについて>
2005年に世界で初めて石垣島で微細藻類ユーグレナ(和名:ミドリムシ)の食用屋外大量培養技術の確立に成功。石垣島で生産したユーグレナ・クロレラなどを活用した機能性食品、化粧品等の開発・販売を行うほか、バイオ燃料の生産に向けた研究、遺伝子解析サービスの提供を行っています。また、2014年より行っている、バングラデシュの子どもたちに豊富な栄養素を持つユーグレナクッキーを届ける「ユーグレナGENKIプログラム」の対象商品を、2019年4月より化粧品を含む全グループ商品に拡大。2012年12月東証マザーズに上場。2014年12月に東証一部市場変更。「Sustainability First(サステナビリティ・ファースト)」をユーグレナ・フィロソフィーと定義し、事業を展開。https://euglena.jp
カラハリスイカ果汁には、8-プレニルナリンゲニン、アカセチン、ピノレジノールなどのポリフェノールが含まれていることが確認されました
液体クロマトグラフィー質量分析※3によって、カラハリスイカ果汁を測定したところ、0.53 ng/mLの8-プレニルナリンゲニン、0.86 ng/mLのアカセチン、80.17 ng / mLのピノレジノール、42.63 ng / mLのピノレジノールジグルコシドが含まれていることが分かりました。
※3 液体中の成分を固定相と移動相の相互作用の差を用いて分離し、質量検出器で検出する手法
8-プレニルナリンゲニン、アカセチン、ピノレジノールは、それぞれインフルエンザウイルス感染抑制活性を示し、特に、8-プレニルナリンゲニンで活性が高いことが確認されました
イヌの腎細胞にインフルエンザウイルス(A/H1N1/PR/8/34)を感染させ、8-プレニルナリンゲニン、アカセチン、ピノレジノール、ピノレジノールジグルコシドを含んだ培地、および含まない培地でそれぞれ培養しました。その結果、8-プレニルナリンゲニン、アカセチン、ピノレジノール、ピノレジノールジグルコシドをそれぞれ含んだ培地では、インフルエンザウイルスの感染が抑制されました。また、ウイルス粒子の複製を50%阻害するために必要な添加濃度(IC50値)は、それぞれ、5.5 µg/mL、9.6 µg/mL、123 µg/mL、55 µg/mLとなり、特に8-プレニルナリンゲニン(図1)で活性が高いことが分かりました。
 図1:8-プレニルナリンゲニンの構造式
図1:8-プレニルナリンゲニンの構造式
インフルエンザウイルスが感染する過程※4(図2)のうち、どの段階を抑制しているかを確認するための実験を行いました。
※4 一般的にウイルスは、細胞膜に吸着し、取り込まれた後、細胞質内でウイルス粒子からRNAを放出します。放出されたRNAは核内に移行し、複製および転写を行い、ウイルスタンパク質とウイルスゲノムが合成されます。そして、ウイルスの構成材料が揃うと、細胞膜近くで凝集し、細胞膜から遊離します。この1サイクルがインフルエンザウイルスにおいては8時間であることが分かっています
 図2:ウイルスが感染する過程
図2:ウイルスが感染する過程
8-プレニルナリンゲニンの添加のタイミングを、ウイルス吸着時期(-1~0時間)、ウイルス粒子の複製にかかる1サイクル(8時間)、1サイクルを2つ(0~4時間、4~8時間)に区切った各時点、1サイクルを4つ(0~2時間、2~4時間、4~6時間、6~8時間)に区切った各時点とし、各時点におけるインフルエンザウイルスの感染の状況を測定しました。その結果、吸着時期における8-プレニルナリンゲニンの添加と、1サイクルのうちの後期における8-プレニルナリンゲニンの添加において、インフルエンザウイルス感染を有意に抑制したことが確認されました。この結果は、8-プレニルナリンゲニンの添加が、ウイルスの宿主細胞への吸着を阻害し、ウイルスのエンドサイトーシス※5に影響を与える可能性、およびウイルスタンパクの合成や凝集の段階を阻害する可能性を示しています(図3)。この結果は、過去の実験で確認されたカラハリスイカ果汁での実験結果※1とも一致した傾向であり、カラハリスイカ果汁によるインフルエンザ感染抑制活性の関与成分のひとつが8-プレニルナリンゲニンであることを裏付けていると考えられます。
※5 細胞が細胞外の物質を取り込む過程の1つ
 図3:各増殖段階におけるインフルエンザウイルス増殖抑制効果
図3:各増殖段階におけるインフルエンザウイルス増殖抑制効果
黒い棒グラフは、コントロール細胞のウイルス収量を意味します
白い棒グラフは、8-プレニルナリンゲニンを添加された細胞のウイルス収量を意味します
ナリンゲニンはプレニル化することで、活性が約13倍高くなることが分かりました
これまでの研究において、ナリンゲニンもインフルエンザウイルス感染抑制活性を示すことが報告されていますが、今回の研究で測定されたナリンゲニンと8-プレニルナリンゲニンのIC50値は、それぞれ70 µg/mLと5.5 µg/mLであったことから、ナリンゲニンはプレニル化し8-プレニルナリンゲニンになることで、インフルエンザ感染抑制活性が約13倍高くなることが示唆されました。
今後も当社は、カラハリスイカ果汁の摂取等による機能性の解明を目指し、研究開発に取り組んでまいります。
<カラハリスイカについて>
カラハリスイカは、アフリカのカラハリ砂漠に自生する野生種スイカであり、スイカ本来の特徴に加え、過酷な砂漠環境ストレスから自らの細胞を守る能力と水分を保持する能力に優れています。そのため、アミノ酸の一種であるシトルリンなどの抗ストレス成分や保水に関わる成分を蓄えています。ユーグレナ社は2013年11月に植物ハイテック研究所を完全子会社化、カラハリスイカの研究を引き継ぎ、人々の健康増進への貢献を目指し、機能性解明に取り組んでいます。

<株式会社ユーグレナについて>
2005年に世界で初めて石垣島で微細藻類ユーグレナ(和名:ミドリムシ)の食用屋外大量培養技術の確立に成功。石垣島で生産したユーグレナ・クロレラなどを活用した機能性食品、化粧品等の開発・販売を行うほか、バイオ燃料の生産に向けた研究、遺伝子解析サービスの提供を行っています。また、2014年より行っている、バングラデシュの子どもたちに豊富な栄養素を持つユーグレナクッキーを届ける「ユーグレナGENKIプログラム」の対象商品を、2019年4月より化粧品を含む全グループ商品に拡大。2012年12月東証マザーズに上場。2014年12月に東証一部市場変更。「Sustainability First(サステナビリティ・ファースト)」をユーグレナ・フィロソフィーと定義し、事業を展開。https://euglena.jp
このプレスリリースには、メディア関係者向けの情報があります
メディアユーザーログイン既に登録済みの方はこちら
メディアユーザー登録を行うと、企業担当者の連絡先や、イベント・記者会見の情報など様々な特記情報を閲覧できます。※内容はプレスリリースにより異なります。
すべての画像
