『ぷよぷよeスポーツ』プロ選手の視線の動きと強さの関係は?トビー・テクノロジーと共同で研究実験を実施
株式会社セガは、ジャパン・eスポーツ・プロライセンス認定タイトルである、対戦アクションパズルゲーム「ぷよぷよ」シリーズの戦術分析のため、アイトラッキング(視線計測/視線追跡)のリーディングカンパニー、トビー・テクノロジー株式会社と共同で試合中のプレイヤーの視線の動きを分析する研究実験を実施しました。

本研究に「ぷよぷよ」のプロ選手であるdelta選手、飛車ちゅう選手に協力いただき、アマチュア選手との比較を行いました。
本研究の結果、プロとアマチュアの差、またプロにおいてもプレイ中の視線の動きには選手によって個性があることが明確になりました。
『ぷよぷよeスポーツ』では、フィジカルスポーツと同様にeスポーツでも競技にはデータを活用した分析が重要であり、観戦をさらに楽しめるという点から、2018年よりAIによる画像認識機能を利用し、プレイヤースタッツの収集・分析・指標の算出を行う大会実況システム「bi-e-Play(バイプレイ)」を採用し、300試合以上をデータ化しています。そのデータを野球やサッカーなどのデータ分析を長年行ってきた、スポーツデータ解析の第一人者であり、「ぷよぷよ」プレイヤーでもある中央大学 理工学部数学科 酒折文武准教授が統計的側面から分析。そこにプロ選手の視点を加え、5つの指標でスタッツを作成し、大会のライブ配信でも観戦者から好評をいただいております。
選手スタッツへの応用、メンタルとの関連の研究などへの応用の可能性について検討してまいります。
調査目的
「ぷよぷよ」プレイヤーの試合中の視線を取得することで、どのような数値が熟練者特有の情報収集を示すことに繋がるか明らかにする。
調査概要
調査対象者(プロ選手2名、アマチュア1名)に同じタスクを与え、その間の視線データを取得する。
その後、視線動画を見ながらインタビューを実施する。
分析概要
1.視線データとインタビューをもとに技能分析表を作成。
2.技能分析表から、有益な視線情報項目を洗い出す。
3.洗い出した視線情報について実際に集計し選手相手の相違点を検証する。
4.数値化できない要素について検証する。
分析結果サマリ
■有益な視線情報項目は以下の通り
1.本線(大きな「連鎖」)積み中の視線配分(見た時間割合)
2.本線積み中の凝視で得る情報量(対戦相手フィールドを見ている間の視線移動量)
3.本線積み中にそれぞれの情報を得る頻度(見てから次に見るまでの時間間隔)
4.最初の「連鎖」中の視線配分(見た時間割合)
5.最初の「連鎖」中のプレイヤーフィールドから得る情報量(プレイヤーフィールドを見ている間の視線移動量)
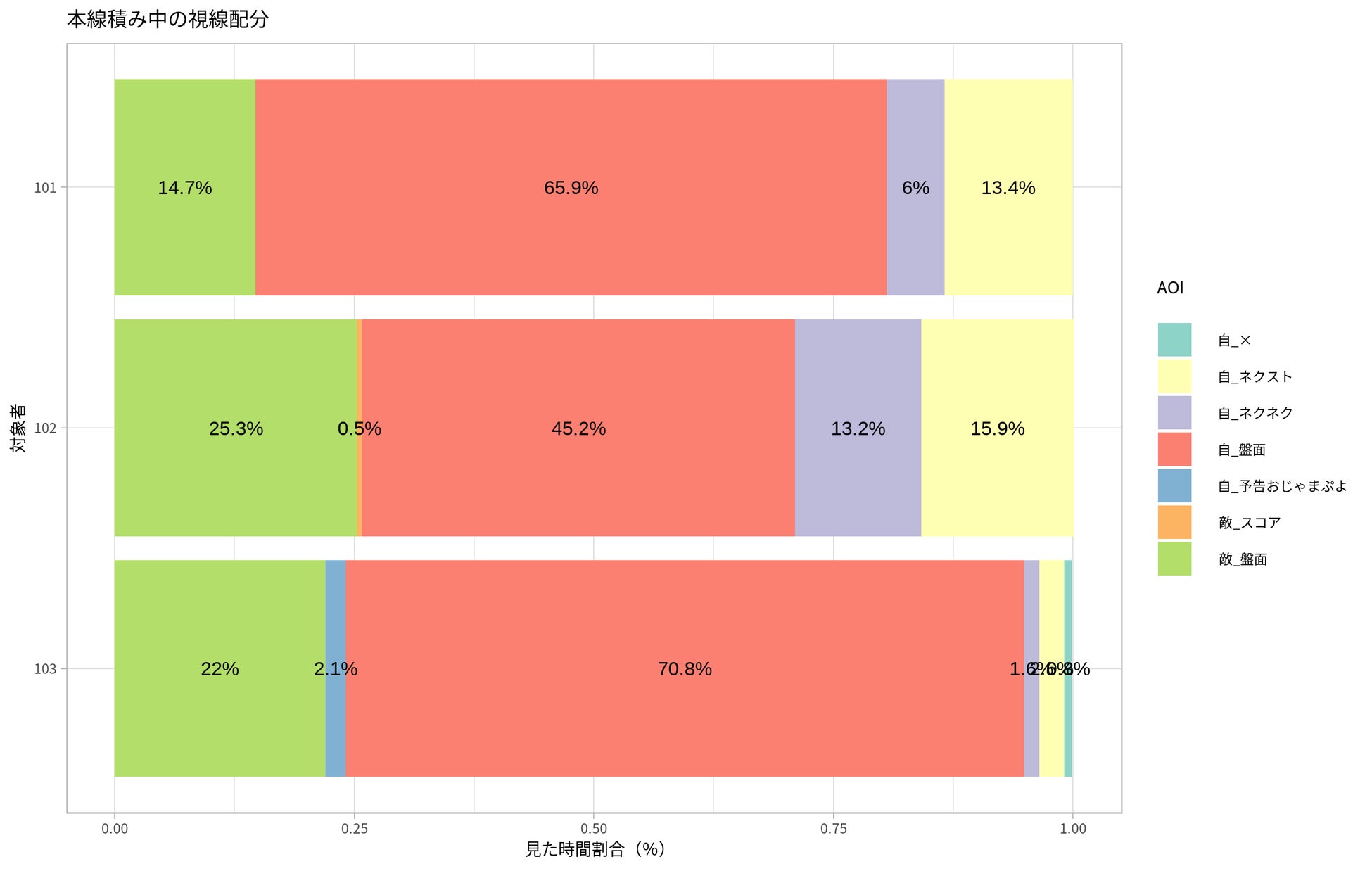
■本線積み中の視線配分(見た時間割合)
プレイヤー101(アマチュア)と比べ、プレイヤー102(プロ:delta選手)はNEXTぷよ(次に落ちてくる組ぷよ)、NEXT2ぷよ(次の次に落ちてくる組ぷよ、通称:ネクネク)、対戦相手フィールドを見る時間割合が大きい。
→戦略としてNEXTぷよ、NEXT2ぷよの情報を重視し、対戦相手フィールドの情報を得る時間を確保
プレイヤー103(プロ:飛車ちゅう選手)はプレイヤーフィールド、対戦相手フィールドを見る時間が長い ※別注


■本線積み中の凝視で得る情報量(相手盤面を見ている間の視線移動量)
プレイヤー101(アマチュア)と比べると、プロである102、103とも視線移動量が多い。

■本線積み中にそれぞれの情報を得る頻度(見てから次に見るまでの時間間隔)
101(アマチュア)と比べると、プロである102、103どちらも対戦相手フィールドを見る間隔が短い

■最初の連鎖中の視線配分(見た時間割合)
101(アマチュア)と比べると102(プロ)は相手のNEXT2ぷよを見る時間割合が、103(プロ)は対戦相手フィールドを見る時間割合が大きい。

■最初の連鎖中のプレイヤーフィールドから得る情報量(プレイヤーフィールドを見ている間の視線移動量)
101(アマチュア)と比べると、102(プロ)は(見た時間割合は小さいにも関わらず)プレイヤーフィールドを見ている間の視線移動量が多い
→短い時間でより多くの情報を得ている
■(別注)プレイヤー103(プロ)の視線移動について
102(プロ)、103(プロ)の最初の積みにおける gaze plot(視線の軌跡を可視化したもの)を比較すると、103の視線はNEXTぷよ、NEXT2ぷよには殆ど向いていないが、プレイヤーフィールドの上部に多く分布していることがわかる。
103自身へのインタビューではNEXTぷよ、NEXT2ぷよを確認する旨の発言をしていたため、下図赤枠の辺りに視線が向かっている際に中心視の少し外側でNEXTぷよ、NEXT2ぷよの色を把握していると思われる。
→103がぷよを積んでいる最中にプレイヤーフィールドを見ている時間が長いのは、少し遠くからNEXTぷよ、NEXT2ぷよを確認していることが要因と推察される。


■総括
プロとアマチュアの差、またプロにおいてもプレイ中の視線の動きには個性があることが明確になりました。アマチュアと比べ、プロは視線移動量が多く、対戦相手フィールドから多くの情報を得ている可能性が高いことがわかりました。また、プロ選手でもそれぞれ違う特徴がみられました。
delta選手は、NEXTぷよ、NEXT2ぷよ、対戦相手フィールドをみる時間割合・頻度が多く、特に相手のNEXTぷよ、NEXT2ぷよを見る時間が長い特徴がありました。
飛車ちゅう選手は、プレイヤーフィールド・対戦相手フィールドを見る時間割合・頻度が多く、delta選手と異なり、NEXTぷよ、NEXT2ぷよへの視線移動はほとんどないがインタビューでは確認している旨の発言をしており、視線の中心視の外側でNEXTぷよ・NEXT2ぷよを把握している可能性があるという特徴があった。
2名とも対戦相手フィールドを見る時間が長いが得ている情報が異なることが明らかになった。
今後、選手スタッツへの応用、メンタルとの関連の研究などへの応用の可能性について検討してまいります。
(参考)実験に参加したプロ選手からのコメント

今まで自身の視線の軌跡を可視化したものを見たことがなかったため、楽しくご協力させていただきました。
誠にありがとうございました。
自身の視線移動に意味付けをしたことがなかったため、一つひとつの視線移動について「なぜそのポイントを見たのか?」と深く考えるよい機会となりました。
「凝視」は対戦におけるひとつの大事な意識なため、改めてみなさんに知っていただけるよい機会になればと思います。

ぷよぷよのプロ同士の試合だと、自陣の連鎖を組むことに集中するのではなく、対戦相手の動向を見て組み方を変えたりする必要があります。
なので視点移動は、試合中は激しく、また周辺視野でもって相手の動向を高頻度で把握しています。
とはいえど自分のフィールド上を操作しながら相手の動向を把握するのは難しく、どういう状況で把握しやすくなるのか、どうしたら把握できるようになるのか、ということはなかなか明文化しづらいところがあります。
視点移動や視野についての調査を続けることで、ぷよぷよの技術向上にも貢献できるでしょうし、他のゲームにおける視点移動や視野についてのコツがわかったりするかもしれません。
<アイトラッキングとは>
アイトラッキング(視線計測/視線追跡)は、眼球の場所と向きを測る生体計測で「選手がどこをみているかわかる」技術です。学術研究、消費者行動、熟練者の技能伝承などで既に多数活用されており、さらに昨今では、視線を活用した新しいインターフェースとして、VR・ゲーム・PCなどにアイトラッキングシステムの組込が広がっています。
<「eスポーツ」とは>
「eスポーツ(esports)」は、「エレクトロニック・スポーツ」の略で、広義には、電子機器を用いて行う娯楽、競技、スポーツ全般を指す言葉であり、コンピューターゲーム、ビデオゲーム使った対戦をスポーツ競技として捉える際の名称。
<「bi-e-Play(バイプレイ)」とは>
「bi-e-Play」は、幅広いお客様にゲーム大会の観戦を楽しんでいただくことを目的に開発・運用しているシステムで、2015年よりさまざまなタイトルの全国大会で採用されています。
「ぷよぷよチャンピオンシップ」では、2018年より「bi-e-Play」で運用を続けているAIによる画像認識機能を利用し、プレイヤースタッツの収集・分析・指標の算出を行います。
「bi-e-Play」による多種多様なスタッツ分析をお届けすることで、今後のeスポーツをさらに盛り上げてまいります。
<「ぷよぷよ」とは>
「ぷよぷよ」シリーズは、2021年で30周年をむかえて世代を超えて愛される、国民的落ち物アクションパズルゲームです。1991年に初代『ぷよぷよ』がMSX2版とファミコンディスクシステム版にて発売され、1992年にはセガよりアーケード版、メガドライブ版を発売。単純で分かりやすいゲームシステム、可愛らしいキャラクター、さらに落ち物アクションパズルゲームとして初めて対戦形式を導入したゲーム性により、爆発的なヒットを記録しました。以降、アクションパズルゲームの定番ゲームとして、さまざまなゲーム機や携帯電話、スマートフォンで展開され、幅広い層に遊んでいただき、現在に至っております。2018年3月にはJeSU(日本eスポーツ連合)公認タイトルとなり、プロ選手も誕生。eスポーツシーンでも盛り上がりを見せ、現在、多数の競技大会を実施しております。
【製品情報】
商品名 : ぷよぷよeスポーツ
対応機種 : PlayStation®4/Nintendo Switch™
発売日 :
パッケージ版:発売中(2019年6月27日発売)
ダウンロード版:配信中(2018年10月25日配信)
希望小売価格 :
パッケージ版:1,990円(税込2,189円)
ダウンロード版:1,851円(税込2,036円)
ジャンル : アクションパズル
プレイ人数 : 1~4人
発売・販売 : 株式会社セガ
CERO表記 : A区分(全年齢対象)
著作権表記 : ©SEGA
公式サイト : https://puyo.sega.jp/PuyoPuyo_eSports/
公式Twitter : https://twitter.com/puyopuyo20th
※アーケード版『ぷよぷよeスポーツ アーケード』も稼働中。
https://puyo-esports-ac.sega.jp/
商品名 : Puyo Puyo Champions / ぷよぷよeスポーツ
対応機種 : Steam
発売日 : 配信中(2019年5月8日配信)
希望小売価格 : 1,019円(税込1,100円)
ジャンル : アクションパズル
プレイ人数 : 1~4人
発売・販売 : 株式会社セガ
CERO表記 : A区分(全年齢対象)
著作権表記 : ©SEGA
公式サイト :
https://puyo.sega.jp/PuyoPuyo_eSports/
https://puyo.sega.com/champions/ (※欧米版公式サイト)
販売ページ :
https://store.steampowered.com/app/971620/
※PC版は、日本語・英語・フランス語・ドイツ語・スペイン語・韓国語・繁体字中国語・簡体字中国語の言語テキストを収録しております。また、ボイスはオプションにて、英語と日本語の音声切り替えが可能です。
※PC版の必要スペックについては、Steamの商品紹介ページよりご確認をお願いいたします。
■記載されている会社名、製品名は、各社の登録商標または商標です。
このプレスリリースには、メディア関係者向けの情報があります
メディアユーザーログイン既に登録済みの方はこちら
メディアユーザー登録を行うと、企業担当者の連絡先や、イベント・記者会見の情報など様々な特記情報を閲覧できます。※内容はプレスリリースにより異なります。
すべての画像